| 中文马克思主义文库 -> 参考图书·左翼文化 -> 《马克思主义经济学史(1883-1929)》 第二章 恩格斯和价值理论“有奖征文竞赛”2 1.引言在《资本论》第二卷序言中,恩格斯在对洛贝尔图斯的驳斥中,对马克思进行了有力的辩护,洛贝尔图斯认为马克思从他那里剽窃了剩余价值理论。这种有关马克思剽窃的指责,自19世纪70年代以后一直没有中断,主要是由洛贝尔图斯和他的学生鲁·迈耶尔做出的。对这种观点进行驳斥成了一件紧迫的事情,19世纪80年代初,马克思主义在德国社会民主党内的主导地位(尽管从来都不特别稳固),受到迈耶尔领导的强大的“洛贝尔图斯运动”的攻击,这种运动对具有社会主义倾向的知识分子产生了很大的吸引力,这种运动威胁并引诱党采取和俾斯麦政府相妥协的政策,这正像拉萨尔早先做过的那样。恩格斯的门徒卡尔·考茨基在《新时代》上和C.A.施拉姆进行的争论,把普鲁士国家社会主义拯救了出来,恩格斯和考茨基的通信则满是对洛贝尔图斯阴谋的讨论。 恩格斯对马克思的公开捍卫由三部分构成。首先,恩格斯指出,在1859年前后,马克思在差不多已经完全形成自己观点时,还从来没有读过洛贝尔图斯的著作。其次,有关剩余价值的见解,在早期英国社会主义者的著作中早已存在,正是马克思把剩余价值的思想从模糊的状态中解救了出来,只是这一点不为洛贝尔图斯所知而已。最后,也是最重要的,马克思的分析在逻辑上优于洛贝尔图斯,这在于: 按照李嘉图的价值规律,假定其他一切条件相同,两个资本使用等量的、有同样报酬的活劳动,在相同的时间内会生产价值相等的产品,也会生产相等的剩余价值或利润。但是,如果这两个资本所使用的活劳动的量不相等,那末,它们就不能生产相等的剩余价值,或如李嘉图学派所说的利润。但是情况恰恰相反。实际上,等额的资本,不论它们使用多少活劳动,总会在相同时间内生产平均的相等的利润。因此,这就和价值规律发生了矛盾。李嘉图已经发现了这个矛盾,但是他的学派同样没有能够解决这个矛盾。洛贝尔图斯也不能不看到这个矛盾,但是他不去解决它,却把它作为他的乌托邦的出发点之一(《认识》第131页)。马克思在《批判》手稿中,已经解决了这个矛盾;按照《资本论》的计划,这个问题要在第三册来解决。第三册的出版,还要过几个月。因此,那些想在洛贝尔图斯那里发现马克思的秘密源泉和把洛贝尔图斯看作马克思的一个卓越先驱者的经济学家们,在这里有机会可以表明,洛贝尔图斯的经济学到底能够提供什么。如果他们能够证明,相等的平均利润率怎样能够并且必须不仅不违反价值规律,而且反而要以价值规律为基础来形成,那末,我们就愿意同他们继续谈下去。不过他们最好是快一点。这个第二册的卓越的研究,以及这种研究在至今几乎还没有人进入的领域内所取得的崭新成果,仅仅是第三册的内容的引言,而第三册,将阐明马克思对资本主义基础上的社会再生产过程的研究的最终结论。等到这个第三册出版的时候,洛贝尔图斯这个经济学家,就用不着再提了。
为了应对洛贝尔图斯的挑战,恩格斯发起了著名的价值理论 “有奖征文竞赛”。恩格斯承诺,他在《资本论》第三卷序言中,肯定将对这个问题的有关争论作出总结。然而,第三卷的出版,被推迟了将近十年,而不是最初预想的几个月(参见以上第一章第2节)。因此,一直持续到1894年的竞赛,吸引了来自不同流派的参赛者。虽然罗纳德·米克在1978年去世前不久对他们进行了分析8,但是最初的参赛作品很少被详细研究过。2.竞赛的性质首先需要明确的一点是,竞赛的参与者只有少量的马克思的著作可供利用。《资本论》第三卷表明,平均利润率的形成,使得个别资本所生产的剩余价值和它所获得的利润之间发生了系统的偏离,从而商品的劳动价值和它们的长期均衡价格(或“生产价格”)之间也发生了系统的偏离。马克思声称,尽管如此,总利润还是等于总剩余价值,并由总剩余价值决定,价格的总和还是等于劳动价值的总和。产业资本有机构成的大小,和生产价格与劳动价值两者之间差额(负的、零或正的),以及资本家的利润和他们的剩余价值之间的差额,存在着明确的正相关关系(参见以下第三章)我们现在知道,马克思在1857-1858年的《政治经济学批判大纲》中提出了一般利润率的问题,并指出根据资本量的大小,剩余价值存在从一个资本家向另一个资本家转移的必要。我们还知道,马克思在1862年同恩格斯的通信中,在后来被作为《剩余价值学说史》第二册出版的手稿中,他通过“生产价格”的概念和生产价格对劳动价值的偏离,第一次全面地阐述了他的解决方法。但是,上面提到的文献,没有一个是在世纪之交前出版的,马克思和恩格斯的通信迟至1913年才能看到,《剩余价值学说史》出版于1905-1910年,《政治经济学批判大纲》直到1939年才出版(而且直到1953年才开始被广泛使用)。 马克思论述经济学的重要理论著作中,只有《政治经济学批判》(第一分册)和《资本论》前两卷,可供有奖征文竞赛的参赛者利用。《政治经济学批判》(第一分册)出版于1859年,然后长期脱销,该著作简短地提及价值、交换价值和市场价格之间差异: 商品的市场价格随着供求关系的变动而低于或高于它的交换价值。因此,商品的交换价值是由供求关系决定的,而不是由它们所包含的劳动时间决定的。实际上,在这种奇怪的结论中不过提出了这样一个问题,一种与交换价值不同的市场价格是如何在交换价值的基础上发展起来的,或者更正确地说,交换价值规律如何只是在自己的对立物中实现。这个问题将在竞争理论中解决。
在《资本论》第三卷中,马克思说明由于一般利润率的形成,生产价格是如何不同于劳动价值的,暂时性的过度供给或过度需求的存在,又如何使得生产价格区别于短期市场价格的。但是,在《政治经济学批判》(第一分册)中,这两种差别明显地被混为一谈,这表明马克思自己还未能清晰地、系统地阐述转形问题,更不要说找到转形问题的解决方法了。 在《资本论》第一卷中,马克思没有对这个问题进行更多的说明。在第四章论述资本“总公式的矛盾”的一个脚注中,马克思注意到,价值理论预先假定了等价物的交换,从而“价格是由平均价格即归根到底是由商品的价值来调节的,我说‘归根到底’,是因为平均价格并不像亚当·斯密、李嘉图等人认为的那样,直接与商品的价值量相一致”。13在第九章论述“剩余价值率和剩余价值量”中,马克思把几个不那么严密的结论结合在一起,说明剩余价值量是如何由剥削率和使用的可变资本量决定的: 这一规律同一切以表面现象为根据的经验显然是矛盾的。每个人都知道,就所使用的总资本两个部分各占的百分比来说,纺纱厂主使用的不变资本较多,可变资本较少,面包房老板使用的可变资本较多,不变资本较少,但前者获得的
利润或剩余价值并不因此就比后者少。要解决这个表面上的矛盾,还需要许多中项,就像从初等代数的角度来看,要了解0/0可以代表一个真实的量需要很多中项一样。尽管古典经济学从来没有表述过这一规律,但是它却本能地坚持这一规律,因为这个规律是价值规律本身的必然结果。古典经济学企图用强制的抽象法把这个规律从现象的矛盾中拯救出来。以后我们会看到,李嘉图学派是怎样被这块拦路石绊倒的。“确实什么也没有学到”的庸俗经济学,在这里也像在其他各处一样,抓住了现象的外表来反对现象的规律。它与斯宾诺莎相反,认为“无知就是充足的论据”。
在一个脚注中,马克思提醒读者“详见第四册”(即《剩余价值理论》)。上述三个段落,就是1894年之前公众能够看到的马克思著作中论述转形问题的全部内容。恩格斯用于出版《资本论》第二卷的手稿,对这个问题只字不提,而且恩格斯在《资本论》第三卷编辑完成之前,坚决拒绝透露马克思对这个问题分析的细节,无论是对直接要求看到相关分析的康拉德·施米特,还是对明显可以从相关内容中受益的N.F.丹尼尔逊都一样。施米特写信告诉恩格斯,无论是社会主义运动内部还是外部,对这个问题的兴趣都在逐渐增加,并且建议在《新时代》上预先发表《资本论》第三卷的有关章节:“我想,它将对(社会主义)初学者产生良好的影响,并可以让越来越放肆的教授们闭上嘴巴”。15恩格斯明确地拒绝了这一请求,“单独刊印关于利润率的那一篇,而不等其余各篇,当然不行。您知道,马克思的东西都是互相密切联系着的,任何东西都不能从中单独抽出来”。这是不折不扣的回避,假如这是一贯的观点,那么除了作为最终完成的马克思全集的组成部分外,没有任何一部马克思的著作可以出版,进一步说,恩格斯就资本主义不同现实频繁发表的声明,也是不能被允许的。 他对丹尼尔逊(使用笔名Nikolai-on写作的民粹派经济学家)——一个受尊敬的俄国社会主义者和恩格斯的定期通信人——的做法同样是一种回避:“您第一封信里关于剩余价值率和利润率的关系的论断非常有意思,并且毫无疑问,对于统计材料的分类很有价值”,恩格斯告诉他: 但是这不是我们的作者用来解决问题的途径。您的公式的前提似乎是每个企业主都得到从生产过程中攫取的全部剩余价值。但是,在这种前提下,商业资本和银行资本就不能存在,因为它们不会产生任何利润。可见,企业主的利润不可能是他们从自己工人身上榨取的全部剩余价值。
另一方面,您的公式可能对于在一般利润率和平均利润率的条件下大概地计算各个不同工业部门中各种资本的构成是有用的。我说可能,是因为我现在手头没有材料能够让我检验您所推断的理论公式。我们还无法找到丹尼尔逊的信,它不在阿姆斯特丹,也不在东柏林的档案馆里。丹尼尔逊似乎是向恩格斯发起的竞赛提供了自己的参赛作品。遗憾的是,他并没有从恩格斯那里得到任何帮助。恩格斯是在故意设置障碍吗?如果是,那又是为什么呢?或者是他真的忘记了马克思在1862年给他的信中告诉他的解决方法的要点吗?可能是直到1888年,恩格斯还没有开始处理《资本论》第三卷中分析转形问题的文稿,就我们所知,恩格斯从来没有完全掌握《政治经济学批判大纲》和《剩余价值理论》的手稿。我们可以给出一个相对稳妥的结论:在解决转形问题上,没有哪一个征文竞赛的参与者(甚至包括值得信任的同志)从恩格斯那里得到过任何实质性的帮助。 3.第一回合:莱克西斯、施米特和斯蒂贝林第一个参赛作品,是由德国著名的统计学家和经济学家威·莱克西斯18在1885年评论《资本论》第二卷过程中提出来的。莱克西斯指出,他已经批评了洛贝尔图斯无法解决的一个矛盾,即在存在均等利润率的经济中,“李嘉图—马克思价值规律和实际价格形成”之间的矛盾。无论《资本论》第三卷是什么样的,唯一可能的解决方法,就是允许价格和劳动价值之间存在偏离,而且这种偏离,是以剩余价值从使用相对较大数量劳动力的资本家向使用较少数量劳动力的资本家转移的方式完成的: 对我们来说,具有决定性意义的一点是,当两个生产者交换既定数量的不同商品时,作为资本利润的(也就是利润率)均等的结果,一个生产者从交换中得到劳动数量和另一个生产者从交换中失去的一样多……但是由于在资本家阶级内部所得和所失的相互抵消,如果所有的价格和商品的真正价值成比例,剩余价值总量将保持不变 莱克西斯以这样的方式,专门论述了价格和价值之间存在的系统的偏离,以及这种偏离和不同产业中资本有机构成之间的联系;总剩余价值和总利润之间相等。即使只是暗示,马克思解决转形问题方法的基础,已经出现在莱克西斯早期对转形问题简短的讨论中了。 下一个参赛者是一位积极的社会民主党人康拉德·施米特,他放弃了早期对洛贝尔图斯的热情,加入了德国社会民主党激进的一翼,19世纪90年代后期最终成为爱德华·伯恩施坦的康德主义的支持者,1908- 1930年间是修正主义杂志《社会主义月刊》的社会科学编辑。22 55 19世纪80年代后期,施米特还是一位正统的马克思主义者。他的参赛作品出版于1889年,实际上是他的博士论文。23 55写作这篇论文(承受了来自父母的一些压力),是为了尽力获得大学的教职,最后由于政治原因在波恩、霍尔和莱比锡遭到粗暴拒绝后,最终在苏黎世谋得教职从施米特和恩格斯的通信中可以明显地看到,无论是在论文写作还是在著作出版中,施米特绝对没有得到恩格斯提供的任何帮助。事实上,恩格斯后来非常愤怒地否认,他曾经秘密地告诉过施米特关于马克思的解决方法。25 55施米特著作在内容方面的瑕疵、令人畏惧的晦涩文风,使得恩格斯的否定更加可信。 施米特从把总产品分为两个部分开始:一部分是生产所需的由不变资本和可变资本代表的产品;另一部分是剩余产品。关键问题是确定剩余产品的出售价格。平均利润率的形成,使每个资本家剩余产品的价格必然和预付资本成比例,从而价格必然不等于物化在产品中的劳动数量。施米特认为,这和马克思的价值理论并不矛盾。只有社会必要劳动创造价值,剩余产品中的物化劳动不是社会必要劳动,从而它无法决定商品的价值。26 55这种出发点显然是错误的,因为它既误解了马克思的社会必要劳动概念,也混淆了价值和价格。没有证据显示马克思把奢侈品和积累品的生产看作是非生产性活动,但马克思十分明确地坚持剩余产品的劳动价值和生产价格之间的区分。施米特注定要遭到两个方面的批评,既有来自恩格斯的批评,也有来自非马克思主义者的批评,后者包括施米特在苏黎世大学的系主任尤里乌斯·沃尔弗。 和恩格斯不同,沃尔弗开始时似乎不太关注这个问题。从对施米特的批评来看,沃尔弗对施米特著作的阅读不会超过开头的20页。在一时偏离主题后,施米特的确重新回到了这个问题上,并以更具辩护性的方式提出了自己的观点。首先,他把平均利润率定义为: ∑m/∑(c+v) ∑m是总剩余价值,∑(c+v)代表使用的不变资本和可变资本的总和。然后,施米特说明,个别资本家获得的利润,是由一般利润率和他使用的资本总量的乘积决定的。可以被写为:[ ∑m/∑(c+v)]×(c+v) 这确定了剩余产品的交换价值,从而也确定了它的价格,即用货币形式表示的交换价值。不变资本和可变资本的价格是以不同的方式确定下来的,尽管施米特认为它们各自的价格等于物化在它们中的劳动。施米特用一个数字例子说明了他的观点。假定生产了100单位的商品,其中50单位代表资本家在不变资本和可变资本上的支出,其余的50单位是剩余产品。第一部分的价值(用黄金表示)是500英镑,或者每单位产品10英镑。施米特进一步假定,使用的资本的价值是400英镑(这意味着平均周转期不足一年),平均利润率为20%。从而资本家的利润为400英镑的20%,即80英镑。这也是代表剩余产品的50单位商品的价格;从而每单位剩余产品的价格为1.60英镑。全部产品售出时得到(500+80)=580英镑,小于其价值(100×10=1000英镑),同样的,每单位商品的价格(5.80英镑)小于单位商品的价值(10英镑)。29 55然而,“一旦考虑到年度总产出——所有个别商品的总和”,这种偏离就“消失了”。施米特声称,构成产出的第一部分产品的价格和价值是相同的,它们代表了资本家在不变资本和可变资本上的支出。总利润和总剩余价值也相等。施米特坚持认为,从总量上看,所有商品的价格之和等于它们的价值之和。施米特通过对两个反对他观点的见解的反驳结束了讨论。个别资本家没有意识到一般利润率的存在,从而无法用它去决定自己产品的价格,这是无关紧要的。因为,竞争是以“一种纯粹机械和无意识的方式”决定了利润率的相等。施米特声称,用不变资本和可变资本的投入是以均衡价格而不是以它们的劳动价值被出售的,来反对他的解决方法,也是不合理的。从总量上看,它们总是相等的:“从而,总预付资本的价格必然等于它的价值。上面提到的两种反对意见,是不合理的,因为无论总预付资本,是以货币形式还是以商品资本的形式加以考察,利润率水平 ∑m/∑(c+v) 总是保持不变的”。这是一个令人着迷的充满混乱和洞见的结合物。无论是在为物质上相同的同类商品赋予不同的价格(在他的数字例子中)上,还是在孤立地分析一个产业、凭空得出一般利润率上,施米特的观点显然是不能令人满意的。事实上,到1892年,他放弃了他著作中的基本原理。但是,他的转形问题解决方法,是独立于他先前的错误主张的(他并没有明确放弃),即物化在剩余产品中的劳动时间不是社会必要劳动时间。在施米特的解决方法中,包含了马克思在《资本论》第三卷提供的解决方法中的三个核心要素。首先,施米特认为个别资本家的利润,由他所使用的资本和一般利润率的乘积决定;其次,施米特认为,总价格和总价值、总利润和总剩余价值是相等的;最后,施米特似乎主张(尽管不是很清晰),价值量在计算一般利润率时具有逻辑上的优先性。无法像把产出的价值转化为价格那样把投入品的价值转化为价格,成为施米特的主要错误,在这一点上他和马克思是相同的。 对施米特作出最大量批评的是乔治.C.斯蒂贝林,他是纽约的一位医生,1890- 1894年他出版了三本论述转形问题的小册子。斯蒂贝林经常为德国(他的祖国)的社会主义报刊撰稿,他的著述除了有些古怪的创意之外,还是很真诚的。斯蒂贝林认为,有机构成不同的等量资本,无法产生等量的价值和剩余价值。有机构成越高,劳动生产率就越高,从而剥削率也就越高。通过剥削率的非均等化,不同的有机构成,可以带来平均的利润率。随后,斯蒂贝林对自己的观点作了进一步的经验研究。几乎可以肯定的是,他是第一个系统地使用统计资料研究马克思价值理论的人,他用了1880年美国生产普查数据说明有机构成高的产业具有较高的剥削率,反过来也是成立的。他用了两个有相同利润率(约9%)的产业作为例子:有机构成为6.53、剥削率为0.58的粗盐业,有机构成为1.56、剥削率为0.14的造船业。接下来,斯蒂贝林按照有机构成(定义为总资本和可变资本之间的比率)的大小,对全部29个产业进行排序,并把它们分为两组。前14个产业的平均有机构成为5.50,平均剥削率为1.38,平均利润率为25.1%。后15个产业的相关数据分别为2.58、0.57和22.1%。斯蒂贝林分析中存在的明显问题是,只有价格的数量而没有价值的数量。在这里,斯蒂贝林潜在地假设个别商品的价格和价值的相等,正是这个潜在的假设表明,斯蒂贝林对整个转形问题存在着根本性的误解。根据他的定义,他对均衡情况的计算是正确的:斯蒂贝林没有解决转形问题,而是取消了这个问题。 4.第二回合:沃尔弗、洛里亚、弗里曼和莱尔尽管尤里乌斯·沃尔弗并不了解斯蒂贝林的工作,但他却作出了与斯蒂贝林极为相似的论证。沃尔弗是在苏黎世大学讲授卡尔·门格尔边际效用理论的经济学教授。1891,他反对康拉德·施米特到系里任教的意见,在全体教员会议上被否定了,三年后他复仇成功,不过这次他反对的是对施米特的解雇。“你可能已经听说过这个家伙”,施米特告诉恩格斯,“除了其它事情,他发现了危机带给工人的好处——危机把价格降了下来。他还不到30岁,一个奥地利犹太人,他行为举止中普鲁士后备军官般的沉着冷静给人留下了深刻的印象。 沃尔弗首先指出,在马克思看来,劳动生产率的提高和资本有机构成的增长是齐头并进的。商品(包括劳动力)的价值和劳动生产率是负相关的,剩余价值和劳动生产率之间存在着直接联系。因此,这个问题 已经解决了,根据马克思自己的理论,甚至是用马克思自己的话:不变资本的增加预先假定了劳动生产率的增加。剩余价值的增长和总资本中不变资本份额的扩大之间存在的直接联系出现了,因为生产率的提高引起了(通过使工人的生活资料变得更加便宜)剩余价值的增加。
沃尔弗的数字例子见表2.1中。在表中,资本II的资本有机构成较高,劳动生产率较高,剩余价值更多,剥削率也较高,并和资本I有着相同的利润率,对它们来说,相反的情况也一样。商品的价值仍然取决于物化在它们中的劳动数量。沃尔弗认为“价值规律并没有被破坏”,在马克思那里不存在自相矛盾的地方。“恰恰相反,它(解决方法)提供了一个新的证据,证明马克思对于资本主义经济的批判体系,是深刻且富有远见的”沃尔弗的结论声称整个问题是个伪命题,这一混乱部分地是由恩格斯造成的,恩格斯试图使先前解决这一问题的尝试都无效,并(沃尔弗隐晦地暗示)推迟了《资本论》第三卷的出版。无论如何,和斯蒂贝林一样,沃尔弗是回避而不是解决这个问题。![]() 〔注:资本II的剥削率应为30。中文版有误。——中文马克思主义文库〕 来源:沃尔弗,‘Das Ratsel der Durchschnittsprofitrate bei Marx', Jahrbucher fur Nationalokonomie und Statistik,57,1891,第358页。意大利学者阿基尔·洛里亚的参赛作品缺乏实质性内容,对他的关注只是因为恩格斯对他作出了尖刻的回应。1884年,洛里亚把利润率相等和有机构成不等之间无法解决的矛盾,视为整个马克思理论体系的重大缺陷。但是,到了1890年,在对施米特的著作进行评论时,他提出了自己解决问题的方法,我们可以认为他是打算认真地解决这个问题的。表2.2对洛里亚的解决方法作了概括。三个产业资本家(A、B和C)有着不同的资本有机构成和相同的剥削率,在不存在非产业资本介入的情况下,他们将有不同的利润率。存在借贷资本家时,他们把剩余价值的一部分用于支付货币资本家D的利息。自己留下的产业利润与他们使用的资本量成比例。从而形成了统一的产业利润率,而且这个利润率和货币资本家D的利润率相同。 洛里亚没有对他自己奇怪的假设进行任何合理的说明,这个假设认为产业资本家A、B、C支付的利息反过来和他们使用的资本数量成比例。正如恩格斯在他的批评中提到的,通过把资本家D看作是索取李嘉图的级差地租的地主,而不是索取利息的货币资本家,也许可以从洛里亚的例子中挽救出某些有用的内容。但是,这并不是洛里亚的观点,从洛里亚的例子中不可能得到一个一般性的解决方法,因为在没有地租支付的情况下它就不适用了。 ![]() 更有意义的的贡献来自彼·法尔曼,施米特称其为“优秀的小伙子、移居美国的俄国犹太人、职业化学家”。和许多同时代的俄国人一样,法尔曼受到李嘉图理论的强烈影响。他区分了商品价格中的两个因素:由物化在商品中的劳动数量决定的商品价值的“构成因素”,以及代表资本家和地主对产品份额索取权的“分配因素”。法尔曼主张,由于社会财富是由人们生产的商品中所包含的人类劳动的总量构成的,因此,总的来说,价值必须等于价格:“两种商品相交换时,一种商品的价格高于它的价值的大小,必然等于另一种商品的价格低于它的价值的大小,反之亦然”,价格和价值之间差异的产生是分配因素造成的。法尔曼驳斥了施米特的解决方法,认为施米特的方法是非马克思主义的,因为施米特的解决方法拒绝把价值规律应用于剩余产品。他也反对沃尔弗的结论,因为沃尔弗认为价值量会随着劳动生产率的提高而增加,这和马克思的观点是矛盾的。法尔曼非常清楚地说明了每个部门的价格、价值和资本有机构成之间的关系: 如果利润是剩余价值的表现形式,怎么能够认为在剩余价值量取决于工人数量的同时,利润量似乎是独立于工人的数量的呢?仅仅因为,投资在生产资料上的资本和投资在工资上的资本之间的比率(或者像马克思说的那样,不变和可变资本之间的比率c:v)最大的产业部门,其商品以高于它们价值的价格出售,这意味着,不变资本和可变资本的比率最小的产业部门,其商品以低于它们价值的价格出售,c:v的大小代表着明确的平均水平时,商品才按照它们的实际价值出售。
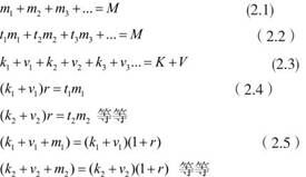
这同价值规律并不矛盾,因为总价格仍然等于总价值。个别商品的价格与价值之间的差异只是竞争引起的波动造成的。“但是在严密的科学中,人们从来不把可精确计算的波动理解为对规律的否定”。最初,施米特并没有对法尔曼的贡献留下什么深刻印象,他认为法尔曼的分析只是不必要地削弱了价值规律:“Le roi règne, mais ne gouverne pas”。恩格斯对法尔曼的工作较为赞许。在同恩格斯通信后,施米特对法尔曼的批评也变得较为温和了,但他仍然否认这位俄国人在莱克西斯的开创性工作之外做出过什么新的贡献。对这种评价,还是要做一些说明。法尔曼通过强调总价格和总价值相等(莱克西斯强调总利润和总剩余价值相等)对莱克西斯的工作做出了补充,但是他对有机构成与价格和价值之间偏离关系的分析更为严密一些。和莱克西斯不同,法尔曼用一个简单的数字例子讨论转形问题,同时对自己的解决方法进行了一般化处理,以使之能够包含地租和利润的支付,但是这两点并没有被很好地加以展开,法尔曼对利润率和所用资本关系的分析,表现的并不比施米特更好。 有奖征文竞赛的最后两位参与者,逃过了恩格斯和时常保持警惕的施米特的注意。米尔普福特·沃尔夫冈是最后两位参赛者之一,下一章将对他进行考察,因为沃尔夫冈的贡献出现在《资本论》第三卷出版后的1895年。另一位参赛者是慕尼黑的教授莱尔博士,莱尔在1886年写了一篇批判《资本论》第一卷的长文。六年后他转向了对《资本论》第三卷的前景的关注。莱尔驳斥了施米特的分析,认为它不仅存在矛盾,而且令人困惑,他也反对沃尔弗的观点,沃尔弗认为,在马克思那里,生产率不同的劳动创造出不同的价值。莱尔文章最重要的部分是他对转形问题的代数表述,这些代数表达式预见到了后来德米特里耶夫和(尤其是)博特凯维兹的数学分析。他用k1, k2...和v1, v2...分别表示产业1,2...中使用的不变和可变资本的价值,用m1, m2...表示剩余价值。对整个经济而言,相应的加总分别为K, V和M,他采用了和马克思相同的立场,用M(K+V)=r表示平均利润率。“各单位商品的交换价值”用t1, t2,...表示(这事实上等同于博特凯维兹的价格—价值比率,即生产价格和劳动价值的比率)。 然后,莱尔写下了下列等式: ![]() 等式(2.1)和(2.2)一起表示总利润等于总剩余价值。等式(2.3)纯粹是定义性的,而等式(2.4)和(2.5)是试图把每个部门的剩余价值同利润,价值同生产价格联系起来的不成功的尝试。因为它们假定在单个部门内部,价值量和价格量是相等的,这样的假设是完全错误的。然而,虽然莱尔没有明确说明,但他实际上通过方程(2.2)和(2.5)设定了一个有n+1个方程和n+1个未知数(t1, t2, t3....和r)的模型,在这个模型中,约束条件和内生变量的数目是相同的。这和博特凯维兹的方法之间存在着惊人的相似。事实上,莱尔唯一直接的推论是 ![]() 这个等式,只有在所有产业的资本有机构成相同的情况下才成立。莱尔再次没有能够说明马克思的原理,即ti可能大于也可能小于单位值,因为不同产业的资本有机构成可能超过或低于社会平均水平的资本有机构成,但是莱尔的确提供了一个隐含地表达了这种观点的算术例子。 令人惊讶的是,莱尔没有把他的分析继续推向深入。假如他尝试解出ti和r,他就会明白,他的方程错误地设定了价值量和价格—利润变量之间的关系,这将提醒他在方法上需要进行根本性的改进。那么,他就将更加接近博特凯维兹的解决方法。当然,这可能是因为他缺乏必要的数学能力。但我们猜测,更重要的可能是他缺乏一种动机。作为一个自称为“庸俗经济学家”的学者,莱尔对马克思的价值理论并不十分认同,不大可能有太多的热情为马克思主要的分析性问题作出解答(虽然他在一定程度上是这样做了)。57莱尔的文章充满了对劳动价值论的批评,其中的一些内容有着强烈的现代说法。莱尔反对只有在不存在技术进步的情况下,历史的物化劳动和实际的必要劳动才相等的观点,因为随着时间的发展,技术进步降低了生产商品所需的劳动投入。可供选择的其它生产方法的存在(比如使用肥力存在差异的土地)使得“必要劳动”的定义变得含糊不清;无论是直接地还是间接地,就维护人类生存的体系而言,几乎所有的人类活动都是必须的,因此从资本主义社会整体的视角看,所有劳动都是必要的,不存在什么剩余劳动。58 这些观点中,没有任何一个和转形问题直接相关,但它们的含义远远超过了当代新古典主义对马克思的批判,并且他很早就预见到那些在斯拉法《用商品生产商品》出版后才出现的思考。很明显,莱尔是一个充满活力和原创性的马克思理论的批判者,恩格斯和后来的马克思主义者对他的忽视实在令人难以理解。 5.恩格斯的裁决恩格斯在为《资本论》第三卷撰写的序言中,用较大的篇幅对参赛者进行了评价。虽然他没有颁发奖品,但是对莱克西斯、施米特和法尔曼进行了赞扬。莱克西斯是“一个伪装成庸俗经济学家的马克思主义者”。“我们看到”,恩格斯对莱克西斯的文章评论道,“问题在这里远没有得到解决,尽管已经含糊地、肤浅地,然而大体上正确地被提出来了”。恩格斯认为,这已经是可能从莱克西斯那样背景的人那里得到的最多的东西了。法尔曼“实际上已经接触到了问题的关键”,恩格斯说,“但是,他这篇如此重要的论文所受到的不应有的冷遇却证明,……仍然需要有许多中间环节,才能完全地、明确地解决这个问题”。至于施米特,他是第一个真正试图解决(与叙述相对)这一问题的人,但是他没有成功;认为剩余产品价格的决定区别于不变资本和可变资本价格的决定,事实上等于抛弃了价值理论。施米特发表在《新时代》上的论文同样是错误的。在恩格斯看来,施米特的真正成就是他分析利润率下降趋势、商业利润、利息和地租的内容。 另外三个参赛者受到了严厉的批评。在恩格斯看来,沃尔弗只是愚弄了他自己。马克思在《资本论》第一卷有上百处,说的正是和沃尔弗“解决方法”的基础相反的话。“说什么马克思认为在可变资本减少时相对剩余价值的增加和不变资本的增加成正比,而这个断言令人如此吃惊,足以使一切议会辞令相形见绌”。沃尔弗同样大胆地宣称施米特的著作受到恩格斯的直接怂恿,从而在有奖征文竞赛中,给了施米特一种对其他人而言不公平的竞争优势。像我们已注意到的,这的确不是事实。阿基尔·洛里亚的分析也好不到哪里,他断言商业资本具有“一种魔力,能够在一般利润率确立之前,就把超过一般利润率的全部超额剩余价值吸取过来,并把它转化为自己的地租,而且在这样做的时候并不需要有任何的土地所有权”。恩格斯对洛里亚进行了最猛烈的攻击,一个“从内心深处瞧不起全部经济学的写作冒险家……诡辩家、谬论家、吹牛家和江湖骗子”。相比较而言,恩格斯认为,斯蒂贝林的用意是非常好的。他只是无法胜任这个工作而已,他的解决方法提出了一个新问题(赋予马克思一个固定的利润率的理论),并产生了误导。 恩格斯在序言中对整个竞赛裁决的结论就是:“全部研究的结果是:甚至在这个问题上,也只有马克思学派才取得了一些成就。如果法尔曼和康拉德·施米特读到这个第三册,他们就会对于他们各自的那部分工作感到完全满意了”。 在恩格斯的裁决中,对莱克西斯过于严厉,对施米特过于宽宏大量,这两种情况(可以合理地假定)都是因为政治立场的原因造成的。人们可能很想知道恩格斯会对莱尔做出什么样的反应?莱尔把对马克思价值理论不足的分析上的感悟和对社会主义的公开的敌意结合在一起了。很可能恩格斯由此而对莱尔置之不理。在他自己和马克思于19世纪40年代阐述的意识形态理论中,就不允许“庸俗经济学家”起到对科学的政治经济学的发展有贡献的作用。直到1942年,保罗·斯威齐重新强调了博特凯维兹的贡献,马克思主义者才开始允许资产阶级学者介入他们对转形问题的讨论。64 这个奇怪的“有奖征文竞赛”引起了我们的新思考。首先,值得注意的是,在马克思自己的意见保持着神秘本质、在恩格斯差不多是故意不提供帮助的情况下,对马克思《资本论》第三卷中的分析,莱克西斯、施米特和法尔曼事实上到底预见到多少。尽管莱克西斯和施米特都写下了较长篇幅的对《资本论》第三卷有利的评论,65 55但是,1895年之后,三个人中没有任何一个重新回到这个问题上,去解决马克思自己的解决方法中仍然存在的困难,这一点令人十分遗憾。 第二,马克思解决方法中的缺陷,是恩格斯评判各种贡献时使用的标准中不可分割的一部分。恩格斯不加批判地接受了马克思存在缺陷的解决方法。事实上,他对马克思《资本论》第三卷中的解决方法存在的不确定性没有采取进一步的行动,或者是做出评价。他发起的竞赛,不像是为了解决一个真正的分析性问题,更像是为了努力评价其他社会主义者可以在多大程度上仿效马克思。一个重要问题的细枝末节,就给整个竞赛蒙上了阴影。 第三,在解决转形问题时,参赛者采取了两种不同类型的解决程序,不怎么富有成效的程序占据了支配地位。首先,根据马克思的观点,“价值规律中的矛盾”可以用“不变条件”的术语进行思考:通过对特定的价值量是如何等于特定的价格、利润量进行分析,可以把利润率表示为剩余价值和资本价值之间的比率。其次,仍然和马克思的思想保持一致,转形问题可以被概念化为,一个从外生给定的价值量得到内生的价格、利润变量的问题。后一种程序是描述转形问题更好的方法。一旦以这种方式解决了转形问题,解决第一种情况下的问题就成了相对简单的事情。此外,后一种程序突出了在何种程度上价值可以被合理地视为是外生的,而且有助于对与此相关的“价值逻辑的优先性”问题进行研究。但是,只有莱尔一个人以这种方式分析了转形问题;其他人受限于第一种程序。然而,恰恰是莱尔的工作受到最少的关注,因此,他的方法以及他的具体结论,并没有立即产生它应有的影响。 第四,正如本章第1节提到的,1894年之前,马克思的公开出版的论述转形问题的著作非常少,而且没有给参与讨论的学者提供什么帮助。但是那时有李嘉图的著作,事实上,在一些关键的方面,李嘉图的著作为解决转形问题提供了较多的指南。李嘉图正确地指出,价格和价值的偏离取决于“资本构成”和社会平均资本构成之间的差异。然而,马克思对李嘉图的批评意见,有些不合道理的苛刻,这可能使得很多作者,法尔曼可能是个重要的例外,在转形问题上低估了《政治经济学及赋税原理》的重大意义。 最后,就像在第一章看到的,恩格斯作为文稿遗嘱执行人、马克思著作的编辑和国际社会主义运动理论争论的最后裁决人,其行为方式不够好。这正是为什么有奖征文竞赛持续了整整十年而不是恩格斯最初打算的“几个月”的原因,对马克思转形问题解决方法进行的批判性考察开始于1895年,差不多已经是这个问题形成33年之后的事情了。 第二章注释: 1、 恩格斯:《资本论》第2卷“序言”,《马克思恩格斯文集》第6卷,人民出版社2009年版,第10页。 2、 V. L. Lidtke, The Outlawed Party: Social Democracy in Germany 1878-189(Princeton: Princeton University Press. 1966) p. 171. 很明显,在恩格斯和迈耶尔之间不存在个人恩怨,19世纪80年代,迈耶尔在伦敦经常拜访恩格斯。参见E. Bernstein, My Years of Exile (London: Leonard Parsons, 1921) p. 196. 3、 K. Kautsky, ' Das " Kapital" von Rodbertus', ' Eine Replik',' Schlusswort', Die Neue Zeit, 2, 1884, pp. 337-50, 385-402, 494-505, and 3, 1885, pp.224-32; C. A. Schramm, ' Karl Kautsky und Rodbertus', ' Antwort an Herrn. Karl Kautsky', ibid, 2, 1884, pp. 481-94, and 3. 1885, pp. 218-23; B. Kautsky (ed. Friedrich Engels' Briefwechsel mit Karl Kautsky (Vienna: Danubia-Verlag, 1955) pp.98-163. 4、 恩格斯:《资本论》第2卷“序言”,《马克思恩格斯文集》第6卷,人民出版社2009年版,第11页。关于转形问题,这种观点的第2节并不完全正确,参见以下第2节。 5、 恩格斯:《资本论》第2卷“序言”,《马克思恩格斯文集》第6卷,人民出版社2009年版,第21-23页。J. E. King, ' Utopian or Scientific: A Reconsideration of the Ricardian Socialists', History of Political Economy, 15, 1983, pp. 345-78. 6、 恩格斯:《资本论》第2卷“序言”,《马克思恩格斯文集》第6卷,人民出版社2009年版,第24-25页。恩格斯在这里提到J. K. 洛贝尔图斯, Zur Erkenntnis Unsrer Staatswirtschaftlichen Zustände (Berlin: Neubrandenburg & Friedland, 1842).根据推测,《批判》应该是马克思的《政治经济学批判大纲》,《马克思恩格斯全集》第46卷上,人民出版社1979年版,第425-427页。 7、 恩格斯:《资本论》第3卷“序言”,《马克思恩格斯文集》第7卷,人民出版社2009年版。参见以下第4节。 8、 与罗伯特· 迪克森的个人通信. 9、 马克思“《资本论》第三卷第8-12章,《马克思恩格斯文集》第7卷,人民出版社2009年版,第159-230页。 10、 《马克思恩格斯全集》第46卷上,人民出版社1979年版,第425-427页;《马克思恩格斯全集》第26卷第2册,人民出版社1973年版,第446-447页;《马克思致恩格斯(1862年8月2日)》,《马克思恩格斯文集》第10卷,人民出版社2009年版,第185-190页。A. Oakley, Marx's Critique of Political Economy: Sources and Evolution (London: Routledge & Kegan Paul, 1984) vol. I, pp.185-8, vol. II, pp. 81-8. 11、 E. J. Hobsbawm, " The Fortunes of Marx' s and Engels' s Writings', in Hobsbawm (ed.) The History of Marxism: Volume I: Marxism in Marx' s Day (Hassocks: Harvester, 1982) pp. 327-32. 12、 马克思:《政治经济学批判》(第一分册),《马克思恩格斯全集》第13卷,人民出版社1962年版,第52页。 13、 马克思:《资本论》第一卷,《马克思恩格斯文集》第5卷,人民出版社2009年版,第194页注释1。 14、 马克思:《资本论》第一卷,《马克思恩格斯文集》第5卷,人民出版社2009年版,第355-356页。 15、 《施米特致恩格斯(1892年7月13日(?))。我们感谢社会史国际研究所的G. Langkau博士提供的该信件的复印件,感谢Jan Ireland的誊写。 16、 《恩格斯致施米特(1892年9月12日)》,《马克思恩格斯全集》第38卷,人民出版社1972年版,第454页。 17、 《恩格斯致丹尼尔逊(1888年10月15日)》,《马克思恩格斯全集》第37卷,人民出版社1971年版,第103-104页。 18、 论莱克西斯参见M. Blaug (ed.) Who' s Who in Economics (Brighton: Wheatsheaf,1983) p. 233. 19、 W. Lexis, ' Die Marx' sche Kapitaltheorie', Conrads Jahrbücher 11, 1885, pp.452-65. 20、 Ibid, p. 464. 21、 不过,在莱克西斯的分析中,的确包含有马克思那里并不存在的错误,即在任何交易中,剩余价值的重新分配完全源于参与交易的不同部分的生产条件。然而,这也许可以被解释为是一种解释性的简化,或者是对只存在两个生产部门这一隐含假设的反映。 22、 P. Angel, Eduard Bernstein et l' Evolution du Socialisme Allemand(Paris: Marcel Didier, 1961) pp.154-5,192-3,207; R. Fletcher, Revisionism and Empire:Socialist Imperialism in Germany 1897-1914 (London: Allen & Unwin,1984) pp.51; 74; 80, n.8; 112. 23、 C.Schmidt, Die Durchschnittsprofitrate auf Grundlage des Marx' schen Werthgesetzes (Stuttgart: Dietz, 1889). 24、 Schmidt to Engels, 19 February 1888, date indistinct, 18 June 1891, 25 October 1891. 25、 恩格斯:《资本论》第三卷“序言”,《马克思恩格斯文集》第7卷,人民出版社2009年版,第20页。cf. Schmidt, Die Durchschnittsprofitrate pp. 2-3. 26、 Schmidt, Die Durchschnittsprofitrate,pp.11-12, 16. 27、 恩格斯:《资本论》第三卷“序言”,《马克思恩格斯文集》第7卷,人民出版社2009年版,第15-16页。A. Loria, Review of Schmidt, Die Durchschnittsprofitrate, in Conrads Jahrbücher, 20, 1890, pp. 272ß4; Schmidt to Engels. 25 October 1891. 28、 Schmidt, Die Durchschnittsprofitrate,pp. 47-8. 29、Ibid, pp. 49-50. 30、 Ibid, p. 51 31、 Ibid, pp. 52-3. 32、 Schmidt to Engels, 13 (?), July 1892, date indistinct (1892?); C. Schmidt, Die Durchschnittsprofitrate auf Grundlage das Marx' sche Wertgesetz, Die Neue Zeit, 11,1892-3, pp.68-75, 112-24. 33、 参见L. von Bortkiewicz, ' On the Correction of Marx' s Fundamental Theoretical Construction in the Third Volume of Capital' in P. M. Sweezy (ed.) Karl Marx and the Close of His System (New York: Kelley, 1966) pp. 197-221 (first published 1907). 34、 G. C. Stiebeling, Das Werthgesetz und die Profitrate (New York: Heinrichs,1890); Das Problem der Durchschnittsprofitrate: Kritik einer Kritik mit Meinem Nachtrag (New York: Labor News Co., 1893); Untersuchungen Ueber die Raten des Mehrwerths und Profits mil Bezug auf die Lösung des Problems der Durchschnitts-Profitrate (New York: New York Labor News Co., 1894). 35、 早在1878年,他在柏林《前进报》的专栏里和德国社会主义者交流了看法。 (J. Lehr,' K.Marx, Das Kapital, Kritik der Politischen Oekonomie',Vierteljahrschrift für volkswirthschaft und kulturgeschichte 23, 1886, pp. 1-38, 97-123). 36、 Untersuchungen, p. 23. 37、 Ibid, p. 3,在这里利润率分别被错误地设定为26.2%和21.7%。 38、 J.Wolf, ' Das Rätsel der Durchschnittsprofitrate bei Marx', Jahrbücher für Nationalökonomie und Statistik. 57, 1891, pp. 352-67. 39、 Schmidt to Engels, 18 June 1891. 40、 Wolf, ' Das Rätsel', p. 358. 41、 Ibid, pp. 360-1. 42、 Ibid, pp. 365-7 43、 论洛里亚参见 Blaug, Who 's Who in Economics, p. 241. and S. B. Clough,' Loria Achille', in D. L. Sills (ed.) International Encyclopedia of the Social Sciences (London: Macmillan and New York: Free Press, 1968) pp. 474-5. 44、 恩格斯:《资本论》第三卷“序言”,《马克思恩格斯文集》第7卷,人民出版社2009年版,第20-21页。 45、 A. Loria, ' La Théorie de la Valeur de Karl Marx', Journal des Economistes,1884, pp.137-9. 46、 Ibid, p. 274. 47、 恩格斯:《资本论》第三卷“序言”,《马克思恩格斯文集》第7卷,人民出版社2009年版,第23页。 48、 P. Fireman, ' Kritik der Marx' schen Werttheorie', Jahrbücher für Nationalöknomie und Statistik, 58, 1892, pp. 793-808; Schmidt to Engels, 13 (?) July 1892. 49、 Fireman, ' Kritik', p. 798. 50、 Ibid. pp. 805-6, 808. 51、 Schmidt in Die Neue Zeit, 1892-3, p. 69, n; Schmidt to Engels, 1 March 1895. 52、 Fireman, ' Kritik', pp. 805-7. 这已经被施密特详细讨论过, Die Durchschnittsprofitrate, pp. 89-95. 53、参见以上注释35. 54、 J. Lehr, ' Die Durchschnittsprofitrate auf Grundlage des Marx' schen Wertgesetzes', Vierteljahrschrift für Volkswirtschaft und Kulturgeschichte, 29 (1) 1892, pp. 145-74 and 29 (2) 1892, pp. 68-92. 55、 Ibid, pp. 170-1; cf. Bortkiewicz, ' On the Correction', pp. 201-4.在勒尔的文章中,r写为0,0p和(1+r)写为1,0p。 56、 Lehr, ' Die Durchschnittsprofitrate', pp. 172-3.如果k1=v1 4, 且k2=4v2勒尔认为t2=4t1。(这是不正确的:正确的解为t2=16t1) 。 57、 Ibid, p. 92; cf. also p. 154. 58、 Ibid, pp. 70-3. 59、到目前为止,对马克思的新古典式批判中,做得最好的是庞巴维克。E. Böhm-Bawerk, Kapital and Kapitalzins (Innsbruck: Verlag der Wagner' schen Universitäts/ Buchhandlung, 1884) pp. 418-47.See Chapter 3 below. 60、 P. Sraffa, The Production of Commodities by Means of Commodities(Cambridge: Cambridge University Press, 1960). See M. C. Howard and J. E. King, A History of Marxian Economics, vol. II, 1929-1988 (London): Macmillan forthcoming). 61、 恩格斯:《资本论》第三卷的“序言”,参考Schmidt Durchschnittsprofitrate, pp. 54-104.《马克思恩格斯文集》第7卷,人民出版社2009年版,第13-18页 62、 Stiebeling, Das Werthgesetz, pp. 15-21. 《马克思恩格斯文集》第7卷,人民出版社2009年版,第19-24页 63、 《马克思恩格斯文集》第7卷,人民出版社2009年版,第26页 64、 P. M. Sweezy, Theory of Capitalist Development (New York: Monthly Review Press 1970; first published 1942) pp. 115-25.。 65、 W. Lexis, ' The Concluding Volume of Marx' s Capital', Quarterly Journal of Economics, 10, October 1895, pp. 1-33; C. Schmidt, ' Der Dritte Band des Kapital', Sozialpolitisches Centralblatt, 22, 1895, pp. 255-8 66、 对这一观点的技术性说明参见F. Seton, ' The " Transforma tion Problem" ', Review of Economic Studies, 24, June 1957, pp. 149- 60; M. Morishima, Marx' s Economics: a Dual Theory of Value and Growth (Cam bridge: Cambridge University Press, 1973) chs7-8; and J. E. Roemer, Analyti cal Foundations of Marxian Economic Theory (Cambridge: Cambridge Univer sity Press, 1981) ch.7. 一个更简单的讨论由霍华德和金给出,参见M. C. Howard and J. E. King, The Political Economy of Marx (Harlow: Longman, 1985) 2nd edn, pp.134-178. |