中文马克思主义文库 -> 〔德〕罗莎·卢森堡︱〔苏〕尼·布哈林 -> 《帝国主义与资本积累》(1915、1924)
第三章 市场的一般理论和危机
在我们转到分析资本主义的矛盾之前,我们必须从市场理论的角度,简略地讨论一下我们分析罗莎·卢森堡的立场时所得出的结论。我们已经考察了扩大再生产的过程和作为再生产的一个不可避免的因素的剩余价值的实现过程;总之,我们已经得出了一个结论,这个结论马克思极为清晰地阐述如下:“这些消费界限也会因再生产过程本身的紧张而扩大:一方面这种紧张会增加工人和资本家对收入的消费,另一方面这种紧张和生产消费的紧张是一回事。”[1]
人们必须知道,马克思和罗莎·卢森堡对问题的提法的全部不同之处。根据马克思的观点,积累是可能的,实现剩余价值是可能的,扩大生产是可能的。但是,这些过程不是进行得很顺利的,而是在矛盾中完成的,既有在资本主义制度的持久的变化中暴露出来的矛盾,也有在激烈的骚动中表现出来的矛盾。归根到底,资本主义再生产的过程本身,代表了资本主义矛盾的扩大再生产。根据罗莎·卢森堡的说法,事情是截然不同的。根据她的说法,剩余价值的实现以及积累和扩大再生产,都是绝对不可前的——在某种程度上,它们从一开始(从推论而言)就是不可能的,只要人们讨论的是纯资本主义社会。罗莎认为,马克思看作是资本主义制度的“飞跃”和痉挛形式的东西,矛盾剧变形式(生产过剩的危机)的东西,在实质上是工业范围内的任何一个特定时刻内的永久的现象。
这个观点早就遭到马克思的批驳。
“这里必须做出一个区别。(马克思写道)当亚当·斯密由资本过剩,由资本积累说明利润率下降时,他所说的是一种
永久的影响,并且这是错误的。但资本的暂时过剩、生产过剩、危机,是一种不同的事情。
永久的危机是没有的。”
[2]
让我们顺便提一下这一有趣的事实:列宁同志在马克思的《剩余价值学说史》出版前几年,就已经阐述过完全相同的观点:“在任何地方我也没有说过,这个矛盾(即生产和消费之间的矛盾——尼·布)应当经常产生过剩的产品。”在对此所作的脚注中他说得更确切:“我强调经常,是因为在资本主义社会中,由于各工业部门之间的比例遭到破坏而有时生产出过剩的产品(危机)是不可避免的。一定的消费能力是保持比例的要素之一”[3]
因而,从方法论上来看,在考察这个问题时,首先把危机排除在外,这是完全可以的,然而这些危机也必须加以分析。
从而,我们看到“消费的界限”已被生产本身所扩展,这增加了(1)资本家的收入(2)工人阶级(追加工人)的收入;以及(3)社会的不变资本(执行资本职能的生产资料)。我们已经有机会使我们自己相信,罗莎·卢森堡拒绝了对这个问题的解决方法,这个方法符合图冈—巴拉诺夫斯基的观点。现在,这个论点本身并不很有说服力。总之,提到资产阶级经济学家时,马克思确实说过,常常可能发生这样的事:“私设的酒店可以找到橡子。”[4]然而,因为有相当数量的人在这点上具有和罗莎·卢森堡同样的观点,再则,我们还没有对图冈—巴拉诺夫斯基的市场理论进行明确的批评,所以现在该是我们对这位经济学家的理论进行考察的时候了。我们似乎更有必要同他“保持一定的距离”,因为在“保持一定距离”的过程中,卢森堡同志的谬误就会表现得更为清楚;然而,最重要的是我们的立场可以得到更精确的阐明。
马克思之所以能够澄清社会资本再生产的间题,主要是因为他彻底地摧毁和撕碎了这样的教条,即产品的(交换)价值转化收入,而且仅仅是收入(即工资、利润和租金);自从亚当·斯密时代以来,它就是占主导地位的。不变资本的再生产和追加的不变资本的生产一起构成了扩大再生产过程的最重要的部分。此外,这一点是同市场理论直接相关联的,因为同消费者市场一起出现了日益增长的生产资料市场,它同生产性消费相适应,而同私人消费不相适应。同样,这种情形对资本积累的理论也具有决定性意义,因为资本积累以不变资本的增长为前提,同可变资本相比,处于渐进的关系,如此等等。这就是为什么马克思理所当然地要一次又一次地重复这个主题,而这是罗莎·卢森堡同志完全投有弄懂的。
图冈—巴拉诺夫斯基先生把这个完全正确的理论作为他的出发点,并且开始使之变得更为“深刻”。
“从对资本主义经济作为一个社会单位所作的图解式的分折(他写道),不可避免地推定出资本主义经济的市场范围,当然决不由社会消费程度来决定。如果机器代替了工人,当然社会对消费资料的需求就会倒退。但是,这于生产资料的需求的增长而得到补偿。同样,从私人消费基金中得到的资本家的收入转化为资本,导致对消费资料需求的减退;而这由于生产资料需求的增长而得到补偿。一般来说:
按比例地分配社会生产不可能引起消费者需求的任何倒退,
以致产品在市场上的总的供应超过了对他们的需求。”
[5](着重号是图冈—巴拉诺夫斯基加的。——尼·布)
单单这一段就明白无误地包含了图冈—巴拉诺夫斯基的“理论”的所有逻辑上的矛盾,它的全部的“独创性”和“似是而非”,这一理论的实质表现在这一论断中,即在消费者市场同社会生产之间不需要有联系。
但是,上面这段引言,初看上去像是无关的“琐事”而不被注意,但是它却是这个问题的关键。图冈—巴拉诺夫斯基先生作出了下面一系列的断言:机器替代了工人,机器的消费替代了人的消费——问题就解决了。一个补偿了另一个,从而取得了平衡;第四等级的解放,被生产资料的生产的解放所替代,而生产资料的生产已永远地脱离了消费资料的生产。即使它完全无助于提高这位已故的资产阶级辩护士的声誉,但还要指出,图冈—巴拉诺夫斯基简直是太随便了,因为他避开了所有问题中最重要的部分。如果使用一台机器,结果是产品的生产得到扩大;这些产品是用这台机器生产出来的。这些产品又将怎么样呢?被使用的这台机器的价值同这些产品价值之间是什么关系呢?换句话说,从市场的观点来看:生产资料市场和消费市场之间是什么关系?图冈没有对前两个问题作出答复。他只是把这个基本问题压了下去;结果,他得出了“荒谬的结论”,这是毫不奇怪的,注意,他对这个结论感到过分地自豪:[6]既然有生产资料市场,生产就独立于消费市场之外。
让我们来考察问题的核心。市场的结构完全可以从两个完全不同的方向来考察。
首先,让我们把社会资本看作商品形式的资本,即卢森堡同志的“商品堆积”。客观上讲,这个商品堆积分成两大部类,一方面是生产资料,另一方面是消费资料。
因此,我们在这里说的是各种商品及其各自生产部门的共存。在这样考虑时,各生产部门之间的必要的技术——经济联系是隐蔽着的、掩盖着的和看不见的。其原因十分明显。因为,这里的生产资料不是指用来生产同时存在的消费资料的那部分生产资料。我们的生产资料将仅仅在下次资本周转时用于消费资料的生产。消费资料的情况也是如此,因为它们的相应的生产资料已被使用掉。因而在市场上没有了;它们的价值(在这点上,价值的是全部价值,或仅是部分价值,这是无关紧要的),已转到消费资料,并与之相结合。因此,从这个角度来看我们的商品堆积和市场,不但不能澄清各生产部门之间的必要联系问题,而且只能使它变得含糊不清。
其次,第二个观点产生于对各生产部门的相互关系的调查。我们从这个观点出发来讨论一系列相互关联的生产部门之间的关系。每个部门为其它部门提供原料,直到我们经过一系列阶段生产出供直接消费的成品为止。
这里,社会的整个生产机器——完全同现实相一致——基本上只是一部用来生产人类消费资料的机器。不管生产生产资料的部门有多大,它们都是以生产消费资料的初级阶段出现。发达的生产,包括资本主义生产,使这个事实变得模糊不清了,因为,正如马克思早已准确地证实的那样,个别生产部门之间暂时的衔接(作为消费资料生产过程的阶段,这个过程必须是统一的),被空间的安排所替代。产品同时存在于制造的不同阶段。所以我们讨论的,不是可以找出其起源的发展,用马克思的话说,不是从卵开始。这个过程并不是这样的,例如,首先只获得矿石、煤或棉花,然后,只制造机器,然后只生产棉纱,而最后只生产布匹。不是的,所有这些部门同时生产。尽管如此,这种情况一点也不否认它们之间存在着一种非常特殊的依赖关系,即生产生产资料和生产消费资料的各部门的相互依赖。
因此,在市场问题上,满足于第一个观点,即不问生产各部门之间的相互联系而去调查市场,这是绝对不能允许的。另一方面,尽管图冈—巴拉诺夫斯基搞了许多“模式”,但他基本上正是按第一种方法来阐述这个问题的。我们将更加详细地努力说明这一点,尽管图冈—巴拉诺夫斯基愚蠢地把这个问题搞得糊里糊涂,以致需要一篇专门的论文来系统地批驳它。
让我们更仔细地看一看这个问题。在任何时候,市场上存在着一定数量的生产资料和消费资料。就它们的价值而言,生产资料部分相对增长,而消费资料部分则相对减少。这一点是毋庸置疑的。同样毋庸置疑的是:日益增多的社会总劳动转向生产资料的生产。当图冈—巴拉诺夫斯基先生装腔作势地谈论这些真理时,他只是在剽窃马克思的观点。另一方面,他对马克思的思想的“深化”完全是另一回事,而且就是它显示出了图冈—巴拉诺夫斯基“原来”的意见。
因而,就其价值而言,生产资料部分出现了相对的增长。那意味着什么呢?它意味着——体现在产品上——消费资料有巨大的增长。资本的有机组成和社会劳动生产率越高,投放到市场上去的消费产品量就越大。此外,产品的个别单位价值下降了。让我们回到上面引用的图冈的一段话(以机器的使用为例)。在这种情况下,我们正在讨论的不仅是这个事实,即吃肉的工人消失了,而代之以耗煤的机器,而且是这样的事实(这个事实不是不很重要,而是更为重要),即用新机器生产出来的那些产品的巨大的商品量被投放到市场上去。无论如何,那已把我们引出了最初提出这个问题所涉及的范围。图冈并不懂得这点。他写道:
“然而,不存在剩余产品,因为在这点上对生产资料的需求完全替代了对消费资料的需求。事实是,为了能够进行工作,这个机器,同工人一样,需要一定的经济上的开支。例如,假定在生产某种产品时机器取代了工人的话,工人阶级对消费资料的社会需求就减少了;另一方面,对机器本身的需求和对为使机器运转而必须的一切东西(例如燃料、润滑油等等)的需求就增长了。总的结果是:商品市场没有收缩。已经变换的一切,是市场需要的商品种类。这样,
有可能使社会财富(体现在由社会掌握的产品量上面)
在社会收入下降时得到增长。”
[7](着重点是图冈—巴拉诺夫斯基加的。——尼·布)
我们已经提到,采用机器生产“某种产品”,必定使“这种产品”量增长。但是图冈—巴拉诺夫斯基先生不想了解关于这方面的任何东西。然而,还有一点必须提到。我们的马克思的批评家承认,对燃料、润滑油等等的需求增长了。但是我们要问图冈—巴拉诺夫斯基先生,增加出来的燃料和润滑油是从哪里来的呢?这不是从天上掉下来的福分!如果不是的话,他就明白无误地料想到在这一生产部门中生产的扩大(在这点上和在其它方面也是如此),从而就有追加的工人,即对包括“某种产品”在内的消费资料的需求增加了,只要这个“某种产品”背后隐藏着某种属于工人阶级的消费资料的东西。
我们的结果是什么呢?这和图冈—巴拉诺夫斯基先生的结果完全不同。经过仔细地分析之后证明:(1)生产资料的增长引起消费资料量的增长;(2)与此同时,生产资料的增长促使对这些消费资料产生新的需求,其结果(3)生产资料生产的特殊水平同消费资料生产的十分特殊的水平相适应,换句话说,生产资料的市场同消费资料的市场是联系在一起的。因此,归根到底,我们得出了同图冈先生如此自信地称之为“最新”政治经济学上最惊人的发现相反的绪论。从最初表述的观点来看,各工业部门在以后的资本周转中发生的事,同市场分析是无关的。至多对那些同特定的部门直接有关的资金的周转进行考察(然而是非常片面的),结果人们就不可能理解生产过程的“客观含义”。
事实上,如果人们从这个观点来看问题的话,而且只是从这个观点出发,他们只能得出图冈—巴拉诺夫斯基式的结论。假定我们在铸铁工业内部建造一个宏伟的机器制造厂。煤和铁的消费就大大地增长了。事情是否到此为止了呢?根本不是。只要我们朝着只分析过程的最初阶段的方向走下去,我们实上就会陷入这种幻觉:机器工业消费煤和铁,而矿山工业消费机器,结果全部“工作”是在自给自足的封闭的圈圈内进行的。一旦当我们知道个别生产部门之间的生产关系时,情形就不同了。机器工业制造出数量越来越多的机器。那意味着什么呢?它意味着,例如在纺织品工业中,即使少量的工人也可以加工数量“大得多”的棉花和其它原材料,从而生产出相当大量的成品,即亚麻布,一种直接消费的物品。随着商品量的极大地增长而来的,是它们的价值的增长(尽管绝对不成比例),因为消费资料的成品的价值不仅仅反映出生产消费资料的那些工业部门所花掉的劳动;而且也反映出自动转化到这些部门的原料、机器等的价值。
因此,图冈—巴拉诺夫斯基先生认为可以把任何数量的劳动和资料塞进生产资料的生产部门,好像它是一个无底的桶一样,并且认为一切事物然后都发展很顺利,因为在资本主义制度下消费者市场和社会再生产过程之间没有依赖关系,这是十分荒谬的。(“消费者的需求的减退,不管它以什么形式出现,都不能够造成总的供应的剩余。”)
图冈的荒谬的信念达到了痴狂的乌托邦的极点,他十分厚颜无耻地把这种乌托邦向他的尊敬的读者们说得娓娓动听。很明显,他的确为此感到骄傲。下面就是那段臭名昭著的引文:
“但是,会不会由于生产资料的生产性消费相对地取代了人的消费而造成在市场上没有它的地位的剩余产品?当然不会。设想出一个新的模式是件简单的事情……而且明确地证明最广泛地用机器代替工人本身不可能造成任何机器过剩或者毫无价值,这也是件简单的事。即使除去一个工人外其他的工人全被机器所代替,这一个工人也能使整个庞大的机器运转起来,而且在这些机器的帮助下,生产出新的机器和资本家阶级的消费资料。工人阶级就将消失。但是那一点也不会阻碍实现资本主义工业的产品。资本家将掌握大量的消费资料,而一年的全部社会产品将在下一年里被生产和资本家的消费所吞掉。但是,如果资本家出于积累的愿望而约束自己的消费,就没有东西可以制止它。在这种情况下,为资本家生产的消费资料将得到限制,结果社会产品的更大的部分将是供进一步扩大生产用的生产资料。例如,煤和铁将被生产出来,并被用来进一步扩大煤和铁的生产。第二年,煤和铁的生产的扩大就会消费掉前一年生产出来的煤和铁的数量,等等,如此
循环不已,直到这种矿物的自然资源最终消耗殆尽为止。”
[8]
图冈—巴拉诺夫斯基,一位圣人和超人,用下面振奋人心的演说来装饰起他那迷人的幻想:“所有这一切可能听起来很奇怪,的确它甚至看上去完全是废话。很可能是这样。真理不总是很容易理解的。但是真理终究还是真理。”[9]
让我们把图冈— 巴拉诺夫斯基的这个“真理”连同它的不合逻辑的推理一起作进一步的考察。
在图冈所举的事例中,我们讨论了在现实生活中无法想象的,高得无法估量的资本的有机组成。但是让我们暂时接受图冈的假设。它是什么意思呢?它意味着消费资料(表现在产品上)的生产越来越庞大,大到“资本家”自然而然地不能够把消费资料的勃朗峰[10]全部消费掉。
这点正是图冈天真地忽略掉的,因为他看不到整个生产过程在技术上和经济上的逻辑。照他的看法,生产资料的生产是一个自给自足的,自主的、独立的领域,同消费资料的生产之间没有任何联系的桥梁。事实上,两者必居其一:要么煤和铁的生产只是为了生产煤或铁,要么生产煤和铁也是为了制造机器,维修铁路,纺织工厂,酿酒厂和电力等等。
在第一种情况下,我们讨论的是社会生产的一个部分,这部分从其性质上来讲同社会消费毫无联系。在这个例子(是不是可以说)和下列情况之间一点区别也没有;这个情况是指根据布尔加科夫的著作:《经济的哲学》(“世界是经济的世界”),疯子西米昂·史多尔泼涅克认为他自己是一位拥有世界的资本家,因为这个世界属于他的经济范畴。那么宇宙的“新陈代谢”就是同时生产。愚蠢的西米昂将会在全球范围内进行限制,以实现自动的“积累”,因而整个过程和人类消费的关系将同图冈—巴拉诺夫斯基的例子中的煤和铁“生产过程”和人类消费的关系一样。图冈仍然保留“一个工人”以完成这篇鬼话,这对问题是毫无影响的,因为如果这“一个工人”受命于他的聪敏的老板为生产煤铁去生产煤铁的话,其经济意义将同他被迫整天对着天花板吐唾沫一样,也许他,或者他生产出来的产品,根本就不存在。
但是,如果生产煤和铁不仅是为了扩大煤和铁的生产,而且也是为了给机器工业和投放到消费市场上去的半成品或制成品工业各部门,提供原料和燃料,情况就不同了。在这种情况下,生产资料的极大的扩张将迟早会不可避免地引起投入市场的消费资料的巨大增长。如果对这些消费资料没有需求的话,就会不可避免地发生灾难性的崩溃,在这种情况下,生产和消费之间的联系——这种联系遭到了我们的“自相矛盾的”图冈的否认——就一定会伴随着原始暴力而出现。
图冈在这一混乱的基点上进一步建立起了一整套论点,这些论点只能增加混乱。
例如,让我们来考察一下他的最重要的论点之一:“一般说来,按比例地分配社会生产不可能造成消费者需求的任何衰退,以致于产品对市场的总的供应超过了对他们的需求。”让我们考虑一下这个问题,“按比例地分配社会生产”是什么意思呢?它包括不包括生产资料的生产和消费资料的生产之间的相互关系呢?
如果所需要的比例也是生产资料生产和消费资料生产之间的比例,如果这种比例包括在内,这就意味着存在同消费市场的联系。但是,认为任何“消费需求的衰退”都不可能引起生产过剩和造成剩余产品,这是荒诞无稽的,因为消费需求的衰退,关系到消费资料的供应的减少,意味着比例关系的破坏。(我们回忆一下列宁说的话,“但是某种状态的消费,是比例的要素之一。”)但是,如果这种比例关系不包括在内的话,整个社会再生产的全部过程仍然是个谜。因为生产资料的生产——在资本主义统治下,由于它的市场和生产的无政府性质,它具有相对的独立性——从其本质上来讲,通过一整系列的生产环节,同消费资料的生产联系在一起,所以它必须被包括在内。
因此,“按比例地分配社会生产”,是与图冈—巴拉诺夫斯基的著作中读到的东西完全不同的。他说:生产煤铁是为了进一步生产煤和铁。那么机器工厂靠什么来维持呢?他们从哪儿弄到煤和铁呢?很自然,他们通过后者的生产得到煤和铁。因而在煤和铁的生产同机器生产之间存在着一种联系。这种完全相同的联系,也存在于机器的生产和纺织品、化学产品等等的生产之间。因为,所生产的不是抽象的机器,不是机器“本身”,不是柏拉图式的对机器的“想法”,而是极为具体的机器,它们必须用于十分具体的生产目的。换句话说,这里价值关系,正像马克思说的那样,以一种特殊的形式联系在一起。要不然,社会生产的比例代表了资本主义生产各部分之间的相互关系。这种关系是:沿着生产全过程的整个战线,一个工业部门向另一个工业部门递交足够数量的产品。从这一观点来看,很显然,原材料的生产,机器的生产,半成品的生产以及消费资料的生产均能破坏比例关系。
图冈—巴拉诺夫斯基写道:
“由于按比例地划分社会生产,任何社会消费的衰退都不能造成剩余产品。我认为,社会产品的人民消费部分的持续衰退是资本主义发展的基本倾向;然而,这与马克思的观点是矛盾的,它一点也不会妨碍实现资本主义生产的产品的过程。”
[11]
显而易见,这篇文章混淆了两个完全不同的东西:生产资料部分(价值)的增长和生产与消费之间的比例失调。
我们将立刻分析这个确实幼稚的混乱状态。但是首先将再引用一段文章,这段引言意外地将图冈的全部理论概念显露出来:
“资本主义经济(过于聪敏的图冈,那个商品经济的鉴赏家解释说)——马克思对其本质并不完全清楚——同和谐的经济相比,资本家阶级可能把
大得多的一部分社会产品(着重点是我们加的。——尼·布)转换成生产资料。由于生产者协会的存在,生产目的就将是最广泛地满足社会可能的需要,它将彻底地排除这种状态,即生产的扩大也并不伴之以社会消费的扩大。然而,在资本主义社会里,技术进步倾向于用生产资料(的消费?)替代人类的消费,这是不利于社会消费的。”
[12]
所有那一切全是废话。生产资料部分在资本主义经济里,要比在“生产者协会里”增长得快,这不是事实。恰恰相反。资本主义客观上限制了这“部分”的增长,因为当劳动力价格低廉时,就没有足够的刺激因素,促使资本家引进新机器。那是经济学科学的起码知识。同所有以前的社会结构相比,当然资本主义无与伦比地刺激了技术进步和生产资料部分的增长。但是,同“生产者协会”相比,资本主义是经济上反动的制度,就是因为它限制了生产力的发展。
这个“部分”(价值形式)的增长,不过是社会劳动生产率增长的表现。因而,上述的那个部分(转化成劳动)在社会主义制度下将增长得更快,而且正由于这个原因,将保证使用价值的巨大的增殖和多样化。
如果积累进行得更慢些,消费的增长也是不可能的。资本主义将不会因为生产力发展得太快和用机器替代人力劳动而受到“责备”,但将因下列各点而受到责备(当然我们在这里涉及到的只是同我们的主题直接有关的那些问题):
1.生产力在资本主义制度里得不到充分的发展,结果,生产资料部分也得不到足够的增长。
2.在资本主义制度下,生产力的分配是“不妥当”的(非生产性消费)。
3.资本主义存在着消费的双重预算制度(奢侈品生产和资本镓的浪费等)。
因而,图冈断言,资本主义的“罪过”在于这一事实,即人的消费被机器的消费所取代,这是荒诞无稽的。问题的实质是十分不同的。
我们现在再回到图冈—巴拉诺夫斯基的基本论点。
经过我们的评论之后,就不难揭露图冈先生的天真的混乱状态。和生产资料部分相比,社会消费部分的下降是一个事实。但是,资本主义的“困难”并不寓于这个事实(社会主义甚至更具有这个“特性”)。困难就在于资本主义的无政府结构——在这个结构内,生产是不受控制的(即整个社会的比例失调),在这个结构内,推动积累的刺激物促进生产范围的不断扩大——不可避免地朝着生产(被迫超出了应有的比例范围)同社会消费发生冲突的状态发展。但是,把消费缩减到一定的水平以下,确实反映了均衡的破坏,不管社会消费下降了多少。
在这儿我们遇到危机的理论。但是在讨论这点之前,我们将首先试图总结一下我们对图岗所作的评论,这将在理论上加以描述。由于图冈先生仍然有一定的名望——尽管确实很难找到一个作家,请原谅我所说的,像这位先生一样完全没有理论修养——这样做就更有必要了。这位先生以同无产阶级调情开始了他的事业,而又以拜倒在将军们的皮靴下结束了他的事业。
图冈先生理论上的抱负的“总的格言”表现在为资本主义制度进行赤裸裸的辩护及同革命的马克思主义进行的斗争。其它一切都是从属于这些格言的。因而这位尊敬的教授的全部“作品”中充满了绝对不能容忍的折衷主义。
事实上,他在同马克思的劳动价值理论作斗争时马上采取了同波姆·巴沃尔克[13]的边际效用论“调和”的立场,这就是:“新理论的最大作用就在于它有可能从一个基本原则出发,对定价过程的所有方面作出完全而彻底的解释,并一劳永逸地结束对价值的争端。”[14]
众所周知,照奥地利学派的理论,生产资料的价值是由消费资料的价值来决定的,而这些是由边际效用来决定的。[15]图冈也知道那一点。在《基本特点》一文中他写道:
“生产资料的价值取决于这一生产资料的边际效用,而这个生产资料少于用体现为最低边际效用的一定的生产资料生产出来的全部物品。”
[16]
但是,现在图冈又接受了一项新的进行辦解的“委任”。他必须证明在生产和消费之间毫无矛盾,证明消费的减少也不能够瓦解资本主义生产。“为煤、铁而生产煤铁”。
但是对不起:在那种情况下,价值理论又怎样了呢?全部价值理论建立在使用物的效用上。按照波姆·巴沃尔克的见解,煤和铁在某种程度上仍然是不成熟的麻布、皮靴和粮食!这就是“有可能一劳永逸地结束对于价值的争端”的理论的真相!试着解释一下煤和铁的价值,它们不会长成任何种类的使用物!一个襁褓中的婴儿也能看出图岗在发挥相互直接矛盾的两种“系统”的观点。如果在这里还谈得上什么逻辑的话,它只是理论上的骗局的逻辑,它欢迎一切能够使陛下的资本合理化的手段。
为了继续下去,图冈先生需要“保证”资本主义制度下社会再生产的过程,他不仅可以承认马克思的关于社会消费部分缩减的理论,而且同时使马克思变得更“深邃”,并且用介绍生产资料的生产独立于社会消费的论点来篡改马克思。他写道:
“这种观点——在资本主义经济里的市场规模由社会消费程度所决定——只能扎根于科学,因为经济学家从来不使用对整个资本主义经济进行考察的方法。”
[17]
但是,现在图冈先生突然又接受另一项“委任”。他要证明,如果从阶级斗争的角度来看,事情绝非像讨厌的“马克思主义者”所声称的那样糟糕。图冈先生刹那间又制造了一个相对立的理论,这就是:
“社会劳动生产率的增长引起社会总产品额的增长(注意:按劳动价值)。这个剩余产品随着社会总收入的增长而增长。因而社会全部收入可以在生产资料部分缩减的同时得到增长。”
[18]
因而,生产资料部分下降,收入部分上升。这个道理并未被理解,因为“对于近代政治经济来说,资本家和工人的社会产品的份额同时增长——但不是以缩减其它阶级的社会产品的份额为代价——看来是完全不可能的,在这点上它没有超出李嘉图的范围。产生这种明显的不可能性的唯一原因是近代科学认为总产品只包括消费资料。”[19]
但图冈实际上认为,由于劳动生产率(!),收入(按劳动单位)以生产资料部分为代价任意增殖!所以现成的解释总是可以信手拈来。一切都可以任意发表。一会儿说生产资料部分增长了,因为这是劳动生产率的表现。一会儿又说,这一部分的“减少”出于同一个原因。
当然,图冈的这种笨拙的辩解性的摇摆与马克思主义毫无共同之处。不幸的是,罗莎·卢森堡同志把正统的马克思主义的概念,马克思本人的概念(《资本论》第二卷、第三卷和《剩余价值学说史》均有论述),同图冈—巴拉诺夫斯基先生的辩护性立场混为一谈。图冈—巴拉诺夫斯基先生对马克思的正确观点的批评(以及十分荒谬的歪曲)是错误的;但是,这毫不意味着罗莎·卢森堡的观点就没有过错。图冈的错误不在于他认为实现是可能的,而在于他把生产和消费之间的必要联系分割开了。另一方面,罗莎·卢森堡的错误不在于她坚持这种联系,而在于她认为在资本主义社会范围内实现是不可能的。
我们现在必须转到一般地论述危机问题。
我们已经看出图冈关于市场和实现的理论和马克思的理论有如天壤之别。但是,罗莎·卢森堡同志不断地指责《资本论》第二卷的模式导出了图冈—巴拉诺夫斯基的理论,是同《资本论》第三卷的基本原则相矛盾的。
他写道:
“……最后,这个模式又和马克思《资本论》第三卷中所表述的资本主义总过程及其经过的见解相矛盾。提出这个见解的基本思想是资本主义分配关系下的生产力的无限膨胀能力与社会消费的有限膨胀能力之间的内在的矛盾。”
[20]
在另一个地方她又写道:“社会消费能力,就表式上所说明的那种再生产过程来看,丝毫没有限制生产。”[21]
最后,在第三段引言中她写道:
“模式是承认危机的存在的,可是,那完全是因为生产内部比例失调之故,即缺乏社会对生产过程的统制之故。
另一方面(着重号是我们加的),它排除了资本主义社会的生产能力与消费能力之间的深刻而根本的冲突;而这种冲突正是由资本积累而生,它爆发为周期性危机,并且驱使资本向不断扩大市场迈进。”
[22]
如同我们早已提到过的那样,我们在这里谈到了危机问题。我们打算在介绍过程中——它将使问题保持在适当的范围之内——提出一些一般性的初步的理论性的意见。
众所周知,我们在这儿谈到的危机问题是指生产过剩的危机。
在这方面,出现了下列问题,对这些问题马克思主义明确地作出了答复:
1.局部或普通的生产过剩
问题是,商品的生产过剩可能是普遍的呢,或仅是局部的。李嘉图和萨伊学派,从商品同商品的简单的交换这一前提出发,否认了普遍的生产过剩的可能性。马克思很有说服力地证实了(在《资本论》第二卷和《剩余价值学说史》里)普遍的生产过剩是可能的。例如,如果我们有最重要的消费资料生产过剩,那么必然也存在着生产资料的生产过剩。
“因为铁等等的生产过剩,已经包含煤炭的生产过剩,正如织物的生产过剩,已经包含纱的生产过剩一样。……所以说不上这类商品的生产不足,因为这类会当作要素即原料、辅助材料或生产资料加入到那些正好有生产过剩待我们说明的商品中去的商品,已经包含生产过剩了。”
[23]
因此,只要存在着生产过剩,(在我们面临的这种情况下)人们不能说煤对于铁等等有生产过剩,即不能说一个生产部门有相对生产过剩,用马克思的话来说,一个生产部门是另一个生产部门的“预备阶段”。人们更不能说煤对于铁有生产不足,即认为铁生产得过多是因为煤生产得太少了,因为没有煤的相应的生产过剩,铁的生产过剩是不可能的。
对这个问题作进一步分析,就使我们刚好又回到在批评图冈—巴拉诺夫斯基的理论时早已阐明过的那些问题。
事实上,如果我们讨论的是摆脱了消费的市场,是生产资料生产的周而复始的循环,在此循环中,一个生产部门为另一个部门服务或者颠倒过来,也就是说,如果我们面对的是图冈在他的激烈的幻想中所描写的那种奇怪的生产制度的话,那么普遍的生产过剩是不可能的。我们的面前就会只有一种摆动:铁的生产过剩意味着煤的生产不足;反过来,普遍的生产过剩,即煤和铁同时生产过剩,就如同要一个秋千的两端同时升起那样的不可能。如果我们遵照马克思的理论,这一正确的理论,而不是图冈—巴拉诺夫斯基的理论,我们就会得出截然不同的结论。那么,我们就有了一连串的有联系的生产部门,这些部门之间彼此相互提供市场,它们遵守着由整个生产过程的技术和经济的连续性决定的某种秩序。但是,这根链条到了消费资料的生产就截止了,因为它再也不以物质形式,即作为使用价值,直接进入任何生产过程而是进入个人的消费过程。(我们暂时先不管这一事实,即对于工人阶级来说,消费过程是劳动能力的生产过程,这点将在以后讨论。在目前情况下,我们感兴趣的只是马克思的模式中所讨论的生产过程的两大部类。)结果,人们确实可以设想到一种情形,即在我们面前存在着这根链条的各个环节上的生产过剩,它表现为消费资料的生产过剩,即表现为同消费市场有关的生产过剩,这恰恰是普遍的生产过剩的表现。
马克思在批评萨伊——他说需求只受到生产的限制——时评论道:
“聪明极了。当然
受限制(生产方面的)。对那种
不能适应需要生产出来的东西或不能现成在市场上找到需要的东西,是不能有需要的。但不能因为需要受
限制于生产,便得到结论说,生产
受限制或曾受限制于需要,并且永远不会超过需要,尤其不能超过那个适应于市场价格的需要。”
[24]
2.生产相对过剩和生产绝对过剩
此外,人们必须知道,人们只能说生产的相对过剩,即只能说生产对于“有效”需求(看支付能力的需求)的过剩,而不是对于社会绝对需求的生产过剩。这点在我们面前的复杂的问题中完全没有加以分析。
“生产过剩和绝对需要有什么关系呢?生产过剩只和那种有支付能力的需要有关。这里问题不是绝对的生产过剩,不是和绝对需要或占有商品欲相关来说的生产过剩本身。在这个意义上,局部的生产过剩和全面的生产过剩,都是不存在的。它们相互间也没有任何对立的地方。”
[25]
马克思在另一处同样精确地表达了相同的思想,尽管表达的方式不同:“商品的过剩总是相对的;不过按一定的价格是过剩的。这时候,商品能被市场吸收的价格,对生产者或商人是引起破产的价格。”[26]
3.商品的生产过剩,还是资本的生产过剩
李嘉图的追随者们,不同于李嘉图本人,肯定地承认资本的生产过剩,但坚决地否认商品的生产过剩。但是,很显然,如果没有商品的生产过剩就不可能有资本的生产过剩。因为资本的生产是指什么呢?资本的生产过程明白无误地指的是资本主义的生产过程,也就是指在资本主义生产条件下,而不是在简单的商品生产的条件下,商品的生产过程。所以资本的生产是资本主义方式生产出来的商品生产。因而,资本的生产过剩也是商品的生产过剩。承认资本的生产过剩而否认商品的生产过剩只是证明:“一种轻率的胡涂思想,以至在同一现象叫做a时被认为是存在的和必然的,在叫做b时又被否定。”[27]
4.暂时的生产过剩和永恒的生产过剩
从我们对于卢森堡的立场,民粹派们和西斯蒙第们以及其他混淆主义者的全部批评的观点来看,这一点是主要的问题。在这个问题上,马克思的立场也是毫不含糊的。我们在这章开始的时候,就已经谈到了这点(也谈到了列宁在这点上的立场)。所以,我们最后再引一段也就够了。马克思在讨论普遍的生产过剩问题时说,仅仅的局部的生产过剩的观点只是“一个可怜的遁词。首先,如果我们只考察商品的性质,其中并没有什么东西,足以妨碍所有商品在市场上出现过剩……在这里,问题正好只是危机的因素。”[28]
换句话说,生产和消费之间的矛盾,或者——同这是一回事——普遍的生产过剩,只是一场危机而已。这一立场同罗莎·卢森堡的立场是根本不同的,按照罗莎的观点,在纯资本主义社会里生产过剩必须随时表现自己,因为扩大再生产是绝对不可能的。
因而,只能说生产相对过剩。但是,从资本主义制度下绝对满足需要的角度来看,我们总是涉及到生产不足。不仅局部的生产过剩是可能的,而且普遍的生产过剩也是可能的,这恰恰包含了生产和消费之间的矛盾。这个生产过剩是资本的生产过剩,因而也是商品的生产过剩。但是,这种生产过剩不是可以经常观察到的永久现象,而是危机的表现。“永久的危机是没有的。”(马克思)
如果我们把同我们有关的最重要之点分开,我们就得出下面理论上的结构:
I 调和论者(萨伊及其一伙)和辩护士:从来不存在普遍的生产过剩。
Ⅱ 西斯蒙第们、民粹派们、罗莎·卢森堡:必需始终有普遍的生产过剩。
Ⅲ 正统的马克思主义者:普遍的生产过剩有时是不可避免的(周期性危机)。
或者在不同情况下:
I 图冈—巴拉诺夫斯基、希法亭等等:由于单个生产部门之间的比例失调而产生危机。消费的因素在此不起作用。[29]
Ⅱ 马克思,列宁和正统的马克思主义者:社会生产比例失调造成危机。但是消费的因素是这种不平衡性的组成部分。
我们现在必须更详细地分析这些基本概念。
我们已经引述了罗莎·卢森堡反对马克思的模式的一个论点,关于生产和消费之间的联系的论点。罗莎·卢森堡认为,马克思的模式“肯定地承认危机(!),但是,把其原因完全归结于缺乏生产的均衡性,即(着重点是我加的。——尼·布)缺乏社会对生产过程的控制。”她紧接着又写道:“另一方面(着重点是我加的。——尼·布),它排除了资本主义社会进行生产的能力和社会消费的能力之间的深刻而基本的矛盾……”(参看上面的引言)很容易看出,罗莎·卢森堡同志在这里把控制生产同生产和消费的联系对立起来,因此也把生产的不均衡性同生产和消费之间的不均衡性对立起来。这个概念促使她造成天数的错误和难以想象的混乱。
让我们设想三种社会经济结构:集体资本主义社会秩序(国家资本主义),在这个社会秩序下,资本家阶级联合在一个统一的托拉斯内,而我们讨论的是一个有组织的,虽然同时从阶级的角度来看又是对抗的经济;然后,马克思所分析的“典型的”资本主义社会,最后社会主义社会。让我们进一步探索(1)扩大再生产过程的方法,从而,使“积累”成为可能的因素(我们在“积累”一词上加了引号,因为“积累”的定义就其本质来看只是以资本主义关系为前提的);(2)危机是如何产生的,从哪儿产生的以及何时产生的。
1.国家资本主义。在这里积累是否可能呢?当然可能。不变资本因资本家消费的增长而增长。适应于新的需要而产生的新的生产部门不断地出现。尽管存在某种限制,工人的消费在增长。尽管存在群众的“消费不足”,危机不可能产生,因为从一开始就提出了所有生产部门的相互的需求,同样也提出了消费者的需求,资本家和工人的需求。(从《资本论》的角度来看)合理的计划取代了“生产的无政府状态”。如果生产资料“计算错误”,就会有剩余,而在下一期生产中将作出相应的更改。另一方面,如果工人的消费资料“计算错误”,多余部分将作为“饲料”在工人中分发,或者产品的相应部分将被消毁。即使在奢侈品生产计算错误时,“出路”也是清楚的。因而,在这种情况下,不可能发生生产过剩的危机。资本家的消费为生产和生产的计划提供了刺激。因此,生产的发展不会特别快(资本家的数量小)。
2.“典型的”资本主义。在前面的章节中我们已经看到积累是怎么可能的。同我们刚才谈到的情况相对照,这里存在着“生产的无政府状态”,通过市场的货币联系,工资形式等等。如果我们取“理想的平均数”,这个任务的解决方法就会和第一种情况相同。(不变资本的增殖,工人和资本家的消费的增长——按价值计算)同第一种情况相反,“理想的平均数”在这里仅仅是某种倾向,它表现在经济过程的矛盾和盲目的道路。另一方面,购买和销售的形式以及购销分离(同产品和产品的交换相对照),本身就是干扰社会再生产的一个条件。其结果如下:
第一,根据经验,生产部门间的均衡性不可能存在。它仅仅作为一种倾向在发生作用,换句话说,均衡性以不断地受到破坏的方式在发生作用。
第二,这种干扰不可避免地造成社会再生产过程中的困难,因为生产部门之间的联系是通过货币和市场来实现的。
第三,由于消费资料的生产和消费资料有效需求之间的不平衡性,作为一个整体的生产同社会消费之间可以存在比例失调。
(这里的需求不是作为有计划的需求而事先提出;整个关系只能是事后的结果。)
第四,由于货币和市场联系,比例失调不可避免地造成社会再生产过程中的干扰。(这里,剩余不能够像在第一种情况下那样被当作“饲料”用于工人身上。)
第五,这种资本主义一方面不断地推动迅速发展生产的倾向(存在着在第一种情况下所没有的竞争),另一方面又不断地推动压低工资(后备军的压力)的倾向。换句话说:资本主义的倾向是使生产超出消费的范围。因为,只有当生产资料的生产出现过剩并从外表上表现为消费资料生产过剩时,这种比例失调才会出现。在这一现象发生之前一切均可进行得比较顺利,因为“剩余”的膨胀波浪绕过了生产的中间环节,在这些环节上还不可能发生个人消费上的冲突。另一方面,这并不意味着积累是不可能的。因为,这里的问题不仅仅是生产出更多的东西,而且是没有按有关比例生产出更多的东西。同罗莎·卢森堡的断言相反,实现剩余价值不是不可能的。但是,在某种条件下,它确实不可能;那么,我们就触及到一种危机“……所以,是再生产的规模过大,和单纯说生产过剩本来是一样的。”[30]
这就是“典型的”资本主义社会的情况。我们现在谈谈社会主义社会。
3.社会主义社会。如果我们采取“纯”社会主义社会,就不存在危机;然而,生产资料部分将比资本主义统治下增长得更快,因为在这里机器是在某种关系下引进的,这种关系在资本主义制度下是无意义的。
但是,恰恰由于那个原因,整个社会的广大群众的需要比在前面提到的社会经济结构中的情况得到好得多的满足。
由此,不难估计出罗莎·卢森堡同志脱离真理有多么远呀!马克思在评论一本反马尔萨斯的小册子时写道:
“所以,这里假定,(1)
资本主义生产,在其中,每个特殊生产部门的生产及其增加,不是
直接由社会的需要调节和统制,而是由每个资本家所支配的生产力,在与社会需要独立无关的情况下去调节。(2)又假定,尽管如此,生产还是
按比例进行,好像资本本来就是直接由社会,适应于它的需要而被用在不同的生产部门一样。”
“按照这个假设——假设资本主义生产绝对地说就是社会主义生产,不过这是一个自相矛盾的假设——实际就不会有生产过剩发生。”
[31]
换句话说,如果存在计划经济,就不会有生产过剩的危机。马克思的思想在这点上是十分明确的:克服无政府状态即制定计划,同消灭作为一个特殊因素的生产和消费之间的矛盾不是对立的;它被描写成包含着消灭这种矛盾。但是,在罗莎·卢森堡的作品中,我们可以找到一方面“缺乏生产的平衡性,即缺乏社会对于生产过程的控制,”和另一方面“资本主义社会生产的能力和它的消费能力之间的深刻而基本的矛盾”——这点可以在上面引述的论述《资本论》第二卷的模式的段落中看到。而罗莎·卢森堡声称第二卷中的模式承认危机完全是由于缺乏生产的平衡性,即缺乏社会对生产过程的控制。罗莎·卢森堡直接地把这个因素同另外一个因素对立起来。正如我们已经看到的那样,她的思想是很精确地阐明的。在引述的这句话下面她写道:“另一方面,它(指第二卷中的模式——尼·布)排除了深刻而基本的矛盾……”等。对明显的错误立场,再也没有比这阐述得更确切,表达得更清楚了。
从罗莎·卢森堡的观点可以得出:在计划经济里,假定存在“群众的消费不足”,也会产生危机。也就是说,按照罗莎·卢森堡的意见在我们假设的国家资本主义的社会里危机也是必然的。另一方面,我们已经表明不可能有危机。[32]但是那不是那么难理解的。实际上,经济的无计划性,它的无政府状态表现在什么地方呢?表现在这个事实上,即生产的单个部门之间没有比例,生产规模和个人消费规模之间没有比例。这就是为什么马克思谈到要把资本按比例地用于(1)“生产的各种范围内”,并且(2)“根据它的(社会的)需要”来使用。两个因素都属于社会生产的均衡性的概念。或者用更通俗的话来表达:假定在每个生产部门,我们完全都有比例,即指朝一个方向的单向联系:从生产资料到消费资料。让整个社会生产用这个系列来表示:煤、铁、机器、布匹;因而煤的生产量恰好和铁的生产所能够消费的量相适应,而铁的生产量又是机器生产所需要的数量,如此等等,贯穿于整个生产部门的链条。那么,我们能否保证不发生危机呢?不能。因为布匹的生产多于消费这种现象可能发生,结果,机器、铁和煤也都超过需要。换句话说:整个社会生产的比例失调,不仅包括生产部门之间的失调,而且包括生产和个人消费之间的失调。或者用列宁的话说:
“‘社会消费能力’和‘不同生产部门的比例’——这决不是什么个别的、独立的、彼此没有联系的条件。相反地,一定的消费状况乃是比例的要素之一。实际上,对实现的分析表明,资本主义国内市场的形成,与其说是靠消费品,不如说是靠生产资料。因此,社会产品的第一部类(生产资料的制造)能够而且应当比第二部类(消费品的制造)发展得快。但是决不能由此得出结论说,生产资料的生产可以
完全不依赖消费品的生产而发展,也不能说
二者毫无联系。”
[33]
让我们从另一个略为不同的角度来看同一个问题。我们假定在生产各部门之间的比例,像我们表达的那样,是从煤到布一个方向的。但是从布到煤的相反的方向对于社会生产过程也是同样重要的。即使是布匹,也是要出售的,因而它可以被机器所取代。让我们再一次提出社会再生产的公式:当整个社会生产被分成两个部分,即分成生产资料的生产和消费资料的生产时,产品的具体的物质部分必须以特殊的关系相互交换位置。但是程序并不局限于仅仅把产品从上一层(生产资料的生产)移到下一层(消费资料的生产)。而是,还必须把下一层的移到上一层来,而且必须按照特殊的严格规定的关系进行。
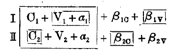
这里,我们必须再一次提到我们的公式:
我们知道,由此可以得出再生产过程的基本条件,它在这个方程式里得到表现:
C2+β2C=V1+α1+β1V
或者,实际上是同样的意思:
V1+β1V=C2+β2C-α1
因而,换句话说,如果C2+β2C-α1﹥V1+β1V将比生产资料生产中未来的可变资本大的话,我们就涉及到消费资料的生产过剩。但是,整个再生产的机构还有另外一个方面,这个方面同我们目前的问题有更直接的关系。它是:我们从分析社会再生产时看到,具体物质要素以各种方法进行更替。生产资料是通过资本家之间的交换行动实现更替,另一方面,只要消费资料代表了可变资本的一个要素,它就通过资本家购买劳动力和通过工人购买消费资料的行为来实现更替。没有这点,再生产是不可能的。没有工人出卖劳动力和购买消费资料那些行为,再生产是难以想象的。《资本论》第二卷中的模式没有排除这些购买行为(看上去像是被排除了,如果人们注意到罗莎·卢森堡的解释的话);相反,它们明白无误地以它们为前提。
所以:
首先,工人的消费资料和社会总产品的其它部分之间的正确比例是顺利进行社会再生产的基本要求。
其次,全部劳动力价值量,或者付给全体工人包括新的生产循环的追加工人的工资总额,必须同工人的消费资料的价值相等。我们用Ⅴ这个符号表示这个量,我们就得出:
V=(V1+β1V)+(V2+β2V)
但是这个等式并不反映先前确立的协调。在现实里不存在这种协调,因为资本主义存在着自发产生的矛盾的倾向(增加生产而减少工资的倾向)。因而,资本主义的动力引起:
V﹤(V1+β1V)+(V2+β2V)
也就是说,引起了生产和消费之间的不平衡。显然,例如在生产资料的生产中,工资的水平不是由价值的计算来确定的,这个价值将在工人的消费资料的生产中生产出来。同样,生产的范围是由需求水平来决定,而需求水平根本无法计算。因而,人们不应该把群众的生产和消费的不平衡同生产过程的总的不平衡加以区分开来。
必须在这里指出:如果人们从整体上看再生产过程的整个机构的话,这个结论变得更为重要。
辩护主义的经济学家们还否认危机,其理由是“在买主和卖主之间”,消费者和生产者之间存在着“抽象的平衡”。马克思评论道:
“所以,再没有什么主张,还比这种主张——即在资本主义生产中消费者(购买者)和生产者(售卖者)互相同一,并且用此来否定危机——更为可笑了。二者是截然有别的。在再生产过程进行的限度内,这种同一性,在三千个生产者中,只对一个生产者即资本家说,可以说得过去。另一方面,消费者即生产者的主张,也是错误的。土地所有者(地租)不生产什么,但他还是要消费。全部货币资本的代表,也是这种情形。”
[34]
换句话说,马克思指出了工人在流通过程中的特殊作用。尽管工人们生产时要消费生产资料,但他们并不购买生产资料,因为他们不是为自己消费生产资料。工人们出卖一种商品,但不是他们在工厂里生产的离品。这一切同再生产有什么关系呢?
首先,我们必须知道,资本主义流通同简单的商品流通是不同的,在简单的商品流通中,劳动力和其它东西一样,包含着使用价值和交换价值,以商品形式在市场上流通。但是那意味着:从社会的角度来看,即从社会再生产作为一个整体的观点来看,在资本主义社会里劳动力是当作一种商品来生产的。
另一方面,我们知道,资本的“实际”形式,它的生产形式——从具体的物质观点来看,而不是从它的价值的观点来看——代表了生产资料同活的劳动力而不是同消费资料之间的一种关系。在这方面,消费资料在某种程度上作为一种中间环节出现。它们不可能以其物质状态,来构成执行职能的生产资本的组成部分;它们的价值不可避免地要转化为劳动力的价值,其物化形式同生产资料的物化形式相一致。因而,生产资料和劳动力是生产资本的形式。同时,在流通过程中,这同商品市场上的劳动力的运动相一致。但是,在特定的商品的生产领域里它同什么是一致的呢?我们已经看到工人的消费资料的生产是劳动力的间接生产,或者更确切地说,是这一生产的先决条件。然而,个人的消费过程构成了劳动力生产的直接过程。从社会的观点来看,工人阶级消费的过程是劳动力的生产过程。无需多说就可得出:生产和消费之间的不平衡也以更直接和确切的形式反映了生产的不平衡,即消费资料生产和劳动力生产之间的不平衡。
在分析危机时,人们通常不花时间去考察劳动力也是一种商品这个事实。尽管我们已经解释过,我们讨论的是资本主义交换的特殊性和资本主义的生产方式,但人们还是这样。劳动力一旦进入商品流通,商品生产所固有的矛盾必将在这里以复杂的形式出现。商品的使用价值和它的交换价值之间的矛盾在这里是以剩余价值的生产(它要争取无限的扩大),同群众(他们要实现他们的劳动力价值)的有限的购买力之间的矛盾形式出现的。这个矛盾通过危机得到解决。
让我们回到争论的主题上来。图冈—巴拉诺夫斯基先生,在他的关于危机的论文的理论部分的结尾中写道:
“如果按计划组织生产,市场就会完全
了解需求,市场就有
能力按比例地分配生产,自由地将劳动和资本从一个工业部门转移到另一个工业部门,从而:不论消费下降了多少,商品的供应绝不会超出需求。”
[35]
这一提法是绝对正确的,尽管人们必须对措词(在有组织的生产中的“市场”,“商品”等等)加以批评。不幸的是,图冈—巴拉诺夫斯基的这一正确提法同他的全部理论是完全矛盾的。看来批评性地分析他是有用的,因为这样的分析对解决这个问题会产生更具体的概念。
根据图冈—巴拉诺夫斯基的看法,了解需求属于计划生产的概念。这是什么意思呢?
需求绝不是一个简单的概念。它包括对于煤的需求,对机器的需求,对铁的需求等等,一句话,对生产资料的需求。它也包括对面包的需求,对纺织品的需求,对消费资料的需求。只要我们讨论的是一个对抗的(阶级的)社会秩序,“了解需求”不仅包含了了解对生产资料的需求,而且也包含了了解工人和资本家对消费的需求。将不存在危机。不会产生危机的理由还包括这一点,即生产和消费的相互依赖是大家知道的,而且是固定不变的。因而,当这位学识渊博的人凭借着生吞活剥马克思分析中的片纸只字创立市场理论时,就产生了正是图冈—巴拉诺夫斯基在理论上所否认的东西。然而图冈的错误使这一提法——“消费水平”是产品均衡的一个要素——得到更为卓越的阐明。事实上,让我们稍为更仔细地看一看生产各部门的相互关系的结构。
在一系列生产部门的下面,“粮食、衣服和住房”的生产最接近于消费。而这些分部中的每一个部门又可进一步分成一大批独立的生产部门。同这一系列生产部门有关的是,存在着一系列的生产资料工业,而这些工业又根据它们制造产品时同各种消费资料的关系以及根据生产资料的相互联系从纵横两个方面形成数不清的生产部门。图冈—巴拉诺夫斯基得出了这个自相矛盾的结论——“生产是独立于消费的”,仅仅因为他只从一个方面(生产资料生产范围内各种工业的相互联系方面)来分析这种联系。首先,他忽视了生产资料生产和消费资料生产之间的比例(我们已论述过这点);其次,他完全避开消费资料生产中的各生产部门之间的比例问题,这对于一个边际效用论的追随者来说,显得特别的奇怪。当把所有这些联系都考虑进去后,完全可能产生下列结果:
消费者需求的变化将不可避免地改变(1)消费资料生产中单个生产部门之间的比例,和(2)生产资料生产中各生产部门之间的比例,这种比例是社会生产的两个基本部门之间的联系的结果。也就是说,社会消费预算的变化不可避免地导致社会劳动的不同方面的重新组织。生产中的变化引起的这一变化并未改变事物本身。
那证明了“消费要素”不是一个独立的因素(这是图冈和罗莎·卢森堡共犯的一个错误,尽管他们得出了绝然相反的结论),而是社会生产的总平衡或失调的一个要素。
说了这些之后,就再也不难揭露罗莎·卢森堡的错误的方法论上的根源。资本主义生产的有机体是“矛盾的统一”。辩护士们只看到统一。马克思写道:“所以他们的辩护就是把那些最简单的经济关系予以伪造,特别是在对立性面前硬说统一性。”[36]
马克思在另外一个地方对这些同危机的理论有关的辩护士的做法作出了光辉的总结。他写道:
“买和卖分离着,(现实中如此——尼·布)商品和货币分离着,使用价值和交换价值分离着。另一方面(资产阶级学者们——尼·布)又假定这种分离是不存在的,而只有直接的物物交换。消费和生产也分离着;有不消费的生产者,也有不生产的消费者但又假设生产和消费是同一的。资本家直接生产交换价值,以便增加他的利润,而不是为了享受。但又假没,他是直接为并且只为享受的原故,才从事生产,假设资产阶级生产中存在的各种矛盾——那些矛盾当然会归于平衡,但这个平衡过程,同时会表现为危机,表现为互相分裂,漠不相关地互相对立、但又联系在一起的各种要素的强制结合——是不存在的,当然也能发挥什么作用。在每个产业部门内,每个资本家都比例于
他的资本来进行生产,而不问社会的需要如何。……但文假设,他的生产好像是奉社会的命令进行的。”
[37]
罗莎·卢森堡同志非常清楚地看到辩护士们的这一错误。但是还有其它的错误。不仅要看到矛盾,而且还要看到统一。这种统一在危机期间表现得最充分,而罗莎·卢森堡则认为这种统一是完全不可能的。换句话说,罗莎·卢森堡寻找资本主义的外表的、形式逻辑的矛盾;这些矛盾不是有生气的;相互不能适应,不是矛盾统一的要素,而是清清楚楚地否认这个统一。而在实际上,我们见到了一个整体的辨证的矛盾,这些周期性地使彼此得到适应,不停地再生产,以致到了某个发展阶段,摧毁整个资本主义制度,即把前面的统一连同制度本身一起摧毁掉。
[1] 马克思《资本论》人民出版社1975年版第3卷第546页。读者们应注意:这段引言是摘自《资本论》第3卷。根据罗莎·卢森堡,图冈—巴拉诺夫斯基和其他许多人的意见,它应包含着同第2卷中的公式相对立的成分。
[2] 马克思《剩余价值学说史》,人民出版社1978年版第2卷第574页注。(最后一句的着重点是我加的。——尼·布)
[3] 答普·涅日达诺夫先生。《列宁全集》人民出版杜1958年版第4卷第141页。
[4] 橡子,栎树的果实,长圆形,含淀粉,可以酿酒。——译者
[5] 图冈—巴拉诺夫斯基所著《周期性工业危机》第4版第205页(俄文版)(1923年斯摩棱斯基,斯摩棱斯基政府委员会的文学合作社出版)。此外,这个版本有史沫斯科夫同志的序言,它表明了普遍的无知,而且马克思主义者据此拒绝了资本主义生产“创造了自己的市场”的论点,和马克思没有提供“合法的(?!)和详细而透彻的危机论”的论点,等等。我们似乎正在亲眼目睹一批业余理论家开始泛滥。他们认为他们只需这样一种信念的指引便能取得成就,即单是勇气就能移掉大山。
[6] 此句的德文是 nicht wenigel stotz als del Neger alfbsein Nage nring——原译者
[7] 图冈—巴拉诺夫斯基《周期性工业危机》第205页。
[8] 图冈—巴拉诺夫斯基《周期性工业危机》第212页。
[9] 同上书,第212页。
[10] 阿尔卑斯山脉的最高峰。——译者
[11] 图冈—巴拉诺夫斯基《周期性工业危机》第213页。
[12] 图冈—巴拉诺夫斯基《周期性工业危机》第212页。
[13] 尤金·范·波姆·巴沃尔克(1851—1914)奥地利人,十九世纪末奥地利学派领袖,三度出任奥匈帝国财政部长,以后在维也纳大学政治经济系任教。两部主要作品是《资本和利息》以及《资本的实证论》。在《卡尔·马克思及其体系的结束》一文中,批驳了马克思主义经济学。
[14] 图冈一巴拉诺夫斯基《政治经济学的基本特点》,第2版(1911年彼得堡)第46页。
[15] 奥地利学派。发展了价值的边际效用论。魏瑟和门格尔是两位主要代表人物。布哈林在《有闲阶级的经济理论》一文中对这一学派作了分析。
[16] 图冈—巴拉诺夫斯基《玫治经济学的基本特点》,第45页。
[17] 《周期性工业危机》,第205页。“我认为人民消费部分的逐步减少是资本主义发展的葚本倾向”,第213页。
[18] 《政治经济学的基本特点》,第441页。文字内容和附加的图解表明,我们在这里讨论的是劳动价值。读者将会在我们对分配理论的研究中找到有关这个题目的更详细的材料“没有价值的经济”,《新时代》1913年第14期(第1卷)。
[19] 《政治经济学的基本特点》,第440—441页。
[20] 卢森堡《资本积累论》,三联书店1959年版第269页。
[21] 同上书,第271页。
[22] 同上书,第273页。
[23] 马克思《剩余价值学说史》,人民出版社1978年版第2卷第513页。
[24] 马克思《剩余价值学说史》,人民出版社1978年版第3卷第128页。
[25] 马克思《剩余价值学说史》,人民出版社1978年版第2卷第586页。
[26] 马克思《剩余价值学说史》,人民出版社1978年版第2卷第584页。
[27] 马克思《剩余价值学说史》,人民出版社1978年版第2卷第577页。
[28] 马克思《剩余价值学说史》,人民出版社1978年版第2卷第583页。(后面的着重点是我加的。——尼·布)
[29] “然而这些模式(马克思的模式——尼·布)也表明在资本主义生产里,再生产可以在筒单的和扩大的水平上没有障碍地进行下去,如果这些比例关系得以保持的话。另一方面,如果比例遭到破坏,简单再生产也会出现危机。……因而,这不等于说,在资本主义生产里,群众的内在的消费不足必须产生危机。……同样,商品的普遍的生产过剩的可能性,并非产生于模式本身;而是每次扩大生产——它无论如何产生于现有的生产力——看来都是可能的。”(鲁道夫·希法亭《金融资本》第2版(1920年维也纳)第339页。着重点是我加的。——尼·布)公平地说?我们必须注意到,即使是图冈先生也承认有普遍的生产过剩,尽管只是“作为局部的生产过剩的特殊表现和在货币经济关系下社会劳动分配不平衡的特殊表现。”(《周期性工业危机》第265页。)
[30] 马克思《剩余价值学说史》,人民出版社1978年版第2卷第616页。
[31] 马克思《剩余价值学说史》,人民出版社1978年版第3卷第127页。
[32] 当然聪敏的读者不会忘记,我们讨论的是抽象的“理想型”的社会结构,而不是具体的特定的社会秩序。
[33] 《市场理论问题评论》,《列宁全集》人民出版社1958年版第4卷第44页。
[34] 马克思《剩余价值学说史》,人民出版社1978年版第2卷第600页。
[35] 图冈—巴拉诺夫斯基《周期性工业危机》,第281—282页。
[36] 马克思《剩余价值学说史》,人民出版社1978年版第2卷第578页。
[37] 马克思《剩余价值学说史》,人民出版社1978年版第3卷第129页。
上一篇 回目录 下一篇